
Здравейте скъпи читатели! Как се чувстваш? Готови ли сте за студа? Изолирали ли сте се?
Днес попаднах на статия, която ме озадачи, меко казано. Той каза, че тази зима ще бъде много бурна. Тоест мразовито и снежно. Е, какво да кажа? В това има предимства и недостатъци. Положителната страна - веселото забавление - шейни, кънки, ски, снежни топки. И отрицателно - отоплението на къщата ще струва доста стотинка. За да не останете без думи, гледайки сумата в касовата бележка, се препоръчва да изолирате "гнездото". За щастие има много материали за затопляне на стаята.
Реших да видя какво предлагат производствените организации днес. Вниманието ми беше привлечено от „старата нова“ суровина - пяно стъкло. Защо "стар нов"? Е, как да ти обясня? Старият е на 86 години, а новият е подобрен. Нека обаче изучим материала по-подробно. И така, ето една тема за вас - пяно стъкло: недостатъци, предимства, производство, цена и много други. Да започваме? Отивам!
Клетъчно стъкло: характеристики на продукта
Малко история
Пенното стъкло е измислено от почетния работник на технологиите и науката Исаак Илич Китайгородски. Професорът се специализира в технологията за производство на стъкло, тъй като го смята за материал на бъдещето. Изобретението на професора е подобрено от американски специалисти през 40-те години. Първоначално пяна стъкло се използва като плаващ материал. Но скоро стана ясно, че той демонстрира отлични топло- и звукоизолиращи свойства, лесно се залепва и лесно се обработва. Затова беше решено да се използва в строителството.
По този начин в Канада е имало сграда, създадена от бетонни плочи със слой от аерирано стъкло. Това събитие се случи през далечната 1946 година. Експериментът беше много успешен. Материалът получи заслужено признание. Но за голямо съжаление на изобретателя, в съветските страни той не спечели популярност, тъй като цената беше висока и технологията на производство не беше разработена. Произведен е в СССР, но качеството на продуктите остави много да се желае, което доведе до затваряне на фабрики.
Но в момента производството на този продукт е в разгара си!
Концепция


Топлоизолация на балкона
Пяно стъклото е топлоизолационен материал от силикатно стъкло и суровини, които допринасят за образуването на газ. Изолацията често се нарича разпенено или пчелно стъкло, тъй като има пчелна структура. Поради което може да се похвали с най-уникалните свойства.
Производство
Топлоизолационна суровина - пяно стъкло се произвежда по прахообразна технология. Процесът е доста прост, но отнема много време. Състои се от следните стъпки:
- счупено силикатно стъкло се смачква;
- трохичката се смесва старателно с вещества, които образуват газ;
- зарядът (хомогенна маса) се поставя върху конвейерна лента или във форми и се изпраща във фурната;
- стъклото омеква, превръщайки се в течна, но вискозна смес;
- под въздействието на газове кашата се пени;
- сместа се охлажда бавно;
- от продукта се оформят блокове, плочи (листове) или гранули;
- продуктът се обработва съгласно изискванията;
- са опаковани плочи, гранули или блокове от пяно стъкло.
Можем да кажем, че обикновеното стъкло, което се използва в ежедневието, и клетъчният продукт са близнаци, тъй като те са еднакви по състав, единствената разлика са порите, пълни с газ в разпенения продукт.
За производството на блокове, гранули или плочи се използват само висококачествени материали и иновативно оборудване. Освен това продуктите се подлагат на контрол, който се извършва от експерти в съответствие с европейските стандарти за качество.
Описание и видове пяно стъкло
Пяна от стъкло съчетава предимствата на два материала едновременно. Той съчетава силикатно стъкло, което е здраво и чупливо, и пяна, невероятно лек материал. Производството на пяно стъкло се състои в нагряване на силикатната маса с добавяне на вещество, което образува газ. Високата температура води до топене на веществото, както и до образуване на малки мехурчета. Тази технология дава възможност да се получи лек и издръжлив материал, който има висока топлоустойчивост.
В областта на топлоизолацията се използват два основни типа:
- Плоча от пяна стъкло. Изолацията е под формата на плоча, която има конструкция със затворени клетки. Идеален за изолация на мазета, фасади, тавани, тавани и основи. Дебелината е 6-12 см, а размерът на плочата е 45 * 60 см. Те могат да издържат дори на значителни експлоатационни натоварвания, не се свиват и са устойчиви на деформация при механично напрежение.


Изолация на плоча
- Гранулиран материал. Представлява сферични микропорести гранули. Произвежда се в гранули с различни размери от 1-5 mm до 7-20 mm. Може да се използва като изолация за вътрешни стени, тавани и подове.


Гранулирано пяно стъкло
Техническите характеристики на двата вида материал са сходни, поради което при избора му трябва да се разчита само на удобството и целесъобразността на използването на нагревател от една или друга форма.
Изгледи
Днес има два вида пяно стъкло - гранулирано и блоково.
Освен това има три вида гранулирана изолация:
- чакъл от пяна стъкло;
- натрошен камък от пяно стъкло;
- пяна от стъклен пяна.
Има и три вида блокова изолация:


- плочи (листово пяно стъкло);
- блокове;
- черупки (оформена пяна).
Ако сравним термичните свойства на гранулираното и блоковото стъкло, разбира се, чакълът, натрошеният камък и пясъкът отстъпват на плочите, черупките и блоковете. Но въпреки това гранулираната изолация е по-популярна поради относително ниската си цена.
Особености на производството на плочи
Пяна от стъкло се произвежда в две форми - блокове и гранули. Основните суровини се получават чрез счупване на стъкло за бутилки и прозорци. Това позволява използването на технология за рециклиране на суровини, тъй като стъклото се разлага за дълго време.
След почистване и сортиране счупеното стъкло се натрошава до състояние на прах. За образуване на пяна към фракцията се добавя въглерод и сместа се загрява до хиляда градуса. При тази температура газът се изпарява и разтопеното стъкло се разпенва.


Нагрятото разтопено стъкло е вискозна смес, която след изваждане от пещта се втвърдява и се изгаря.
По този начин технологичната схема от суровина до краен продукт съдържа:
- Почистване на стъкло;
- Сортиране на суровини;
- Топене на стъкло;
- Пренос на газ;
- Охлаждане;
- Изстрелване на готовата плоча.


[ads-pc-3]
Обхват на приложение, обхват на прилагане
Поради своите свойства, пяно стъкло се използва за изолация:


- частни къщи;
- стопански постройки;
- спортни комплекси;
- подземни конструкции;
- промишлени сгради;
- лечебни заведения;
- образователни институции;
- офис обекти;
- съоръжения за отдих - (например за бани, водни паркове и др.).
Обхватът на приложение на материала е много широк, тъй като топлоизолационният материал е безупречен:
- за изолация на тавана: подът на тавана се запълва с циментово-пясъчен хоросан и след това се полагат плочите, след което се прави армираща замазка;
- за стени: повърхността се подготвя, нанася се специално лепило, продуктът се нанася, притиска се плътно и се покрива с мазилка;
- за пода: изсипва се слой пясък (3-5 см), полага се или се запълва топлоизолация, фугите се затварят, прави се замазка, монтира се покритие;
Да, материалът е популярен поради добрите си технически характеристики.
Области на приложение на пяно стъкло
Както вече споменахме, този материал може да се използва широко поради своите свойства.
Разбира се, основното му използване е за звукоизолация и топлоизолация... Като топлоизолатор може да се използва при изграждането на жилищни сгради в жилищно-комуналните услуги, в селскостопанската индустрия (в краварници, кокошарници), при изграждането на индивидуални проекти. Важна роля във всичко това играе неговата екологична чистота.
Въпреки големия избор на топлоизолационни материали, блоковете от пяно стъкло са много по-ефективни в някои области:
- по време на строителството на високи сгради, тъй като материалът е с висока якост и огнеустойчивост;
- незаменим, ако имате нужда от топлоизолация на големи площи, например стадиони (нестандартни покриви, подове, стени);
- в структури, свързани с водната среда (водни паркове, басейни, бани);
- може да се използва при възстановяване на някои стари сгради;
- много важно за различни подземни конструкции и мазета (не само топлоизолация, но и опазване на околната среда);
- действа като нагревател и поради санитарната безопасност е важен компонент при изграждането на сгради, свързани с хранителната, медицинската и фармацевтичната индустрия;
- притежава способността да издържа на всякакви температурни промени, той се използва за топлоизолация на тръбопроводи;
- поради липсата на въздействието на киселинно-алкалната среда, плюс изолационните свойства на материала и огнеустойчивостта - всичко това прави възможно използването му в химическата и петролната промишленост, които у нас са свързани предимно със север ;
- според класификацията на пожарната безопасност се използва в ядрената индустрия.
Всеки вид продукти от пяно стъкло е намерил своето приложение точно там, където е необходимо.
Блоковете се използват за изолиране на стени извън сградите, изолиране на основи и тръби, като топлинна защита за печките.
Гранулите също се използват за изолация, но под формата на запълване за тавански етажи, в кухини на стени, подова изолация. Дори се среща като пълнител за свободно течащи строителни смеси. В някои държави, а именно поради устойчивост на замръзване, използва се за изолиране на пътното платно.
Съвременното развитие на технологиите дава възможност да се произвежда пяно стъкло с различни цветове и да се използва като облицовка.
Перспективи за използването на пяно стъкло в индивидуално строителство
Сравнявайки всички плюсове и минуси, заключението подсказва: този материал все още предстои. Материалът е универсален както по отношение на своите характеристики, така и по области на приложение.
Днес пътни материали за индивидуално строителство. Ако говорим за перспективата за използването му в бъдеще в тази област, то това се посочва от западните разработки и използването на пяно стъкло.
В Германия производството на сглобяеми къщи от монолитни секции вече е установено. Дебелината на стените на такава къща е 30 сантиметра. Тази дебелина е достатъчна за използване във всяка климатична зона. Производителят твърди, че у дома лесен за сглобяване... Относителната лекота на блоковете ще им позволи да бъдат сглобени бързо и да не включват тежки кранове. Подобна технология на къщите в местата на бедствия и природни бедствия ще бъде полезна.
И това, което също е важно - тези къщи не са "временни къщи", а доста постоянни жилища с всички удобства.
Особености на използването на пяно стъкло при изолация на сгради
Нека разгледаме характеристиките на изолацията с някои примери.
- Изолация на стени... Възможно е да се изолира с такъв материал, както отвън, така и вътре в сградата.Няма нищо сложно в работата с блокове от пяно стъкло. От стените се отстраняват стари облицовъчни материали, мръсотия и прах. След това върху стената се нанася слой от специално лепило или циментов разтвор (както при работа с плочки). Поставяме блок върху слоя лепило и го притискаме надолу. Можете, разбира се, допълнително да го укрепите с дюбели, но това може да повреди материала. Отгоре е покрит със слой мазилка. Не се изисква допълнителна пароизолация или хидроизолация.
- Затопляне на подове... За изолация на подове се използват блокове, чипове или гранули от пяно стъкло. Блоковете са най-добрият вариант. Първо, основата е покрита с пясък с дебелина пет сантиметра. Плочите (блоковете) вече могат да бъдат положени върху пясъка. След това ставите могат да бъдат запечатани с полиуретанова пяна. Върху нашето топлоизолиращо покритие трябва да направим подсилена замазка. И накрая се прави дървен под.
- Изолация на покрива... Покривът е един от най-податливите на влага елементи на дома. В този случай оптималната изолация е пяно стъкло. Ако таванското помещение не е жилищно, тогава е достатъчно да се изолира таванският етаж, следвайки описания по-горе пример.
- Изолация на основата... Изолацията на основата е основният момент при изграждането на къща. Наводненията са голям проблем в много влажни зони или ниско разположени райони. В този случай основата започва да се влажи и от нея стените вече са. Всичко това започва да гние, плесенясва и разлага с времето. Можете, разбира се, да извършвате постоянни ремонти, но това не е само невъзможност за излизане от ситуацията, но все пак няма да отмени започналото разрушение. Следователно, на етапа на изграждане на основата е необходимо да се фурнира основата както отстрани на улицата, така и от вътрешната страна на мазето. Вече знаем как да покрием стената.
- Изолация за баня... Баня в лична вила е неизменен и важен атрибут на релаксация. Ваната може да бъде източник на разреждане на агресивна среда поради високата влажност и температурните промени. Плочите от пяна от стъкло могат да бъдат идеални за такива помещения. Самият процес на изолиране на стените на такива конструкции като баня не се различава от изолацията на стени в обикновени помещения.
За да разберете наистина как пяно стъклото се различава от другите нагреватели, просто трябва да сравните техните характеристики.
Сравнителни характеристики на топлозащитните материали
Предимства на разширения полистирол - ниска цена, ниска топлопроводимост. Недостатъци - ниска (по-малко от минерална вата) паропропускливост, повишена трудоемкост по отношение на монтирането на материала, висока запалимост. Единственото място, където може да се приложи, е мокро, равномерно мокри места при изолиране на фасадите на каменни сгради. Не е подходящ за дървени сгради.
Предимства от минерална каменна вата - издържа на температури до 1000 градуса по Целзий, не абсорбира влагата, Висока степен на устойчивост на механични натоварвания.
Предимства на екструдираната полистиролова пяна - ниска топлопроводимост, висока механична якост, без капилярност, без абсорбция на вода, устойчивост на температурни промени, издръжливост Недостатъци - липса на паропропускливост.
Предимства на пенобетон и газобетон - те не се страхуват от влага, регулиране на влажността на въздуха в помещението поради връщането и абсорбирането на влагата (създаване на микроклимат), висока шумоизолация, добра топлоизолация (3–3,5 пъти по-висока от тази от тухли), ниска интензивност на труда при работа с тях, негоримост на материалите, лесно боравене, издръжливост.
Предимства от фибростъкло (стъклена вата) - пожарна безопасност, удобство при работа с тях, ниска топлопроводимост, не гние, не се страхува от влага (способността да абсорбира и отделя влага). Недостатъци - необходимост правене на пропуски по време на монтажа за отстраняване на влага, стареене и разрушаване на структурата на материала.
Предимства на корковите материали - екологичност, възможност за използване за декорация, изолация за подове и вътрешни стени. Недостатъци - висока цена.
Предимства на разпенен материал - ниско тегло, ниска топлопроводимост, лекота на работа. Недостатъци - паро- и газонепропускливост (стените "не дишат").
Имоти
Клетъчното стъкло е известно със следните свойства:
- шумопоглъщане - 56 dB;
- абсорбция на вода - 0–5%;
- паропропускливост - 0–0,005 mg / m * h * PA;
- топлопроводимост - 0,04–0,08 W / (m * K);
- влажност (сорбция) - 0,2–0,5%;
- якост на огъване - 0,4–0,6 MPa;
- якост на натиск - 0,7–4 MPA;
- ефективна работна температура - –260 - + 400 ° С;
- реална работна температура - –260 - + 230 ° С;
- температура на деформация - + 450 ° С.
Въз основа на тези данни могат да бъдат идентифицирани признати предимства и недостатъци.
Нагреватели
141 гласа
+
Глас за!
—
Против!
Един от най-добрите топло и звукоизолационни материали е пяно стъкло. Тази изолация е създадена от съветски учени през 30-те години, но поради високата си цена и несъвършената технология на производство, тя не получава широко разпространение. Три десетилетия по-късно канадците са намерили практическо приложение за него, където пяна стъкло се използва като топлоизолация за сграда. Този материал влезе в масовото строителство сравнително наскоро, когато бяха взети предвид всички недостатъци и производствените разходи бяха намалени. Статията ще се фокусира върху това как да се изолира с пяна стъкло.
- Технология за подреждане на стъкло от пяна
Какво е пяно стъкло
- Този неорганичен топлоизолационен материал има пореста структура. По време на производствения процес разтопеното стъкло се загрява при високи температури, добавеното газообразуващо вещество образува мехурчета с диаметър от милиметър до сантиметър. Порьозността варира от 80-95%.
Стъклена пяна снимка


- Цветът на продуктите може да бъде различен: кремав, зелен или черен. Това свойство зависи от суровината, тъй като в производството се използват натрошен кварц, натриев сулфат, седиментни скали и невъзстановим отлом.
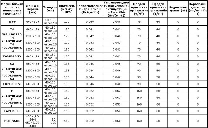
- Изолацията се предлага под формата на гранули, плочи и фитинги (обвивки на тръби). Популярни са блокове от пяно стъкло, които могат да бъдат от следните размери: дължина - 200, 250, 400, 475 мм;
- ширина - 125, 200, 250, 400 мм;
- дебелина - 80 100, 120 мм.
Характеристики на пяно стъкло
- Това е лек материал с плътност 120-200 kg / m. кубче
- Що се отнася до пределната якост на натиск, този показател е много висок и варира от 0,5 до 1,2 МРа.
- Топлопроводимостта е дори по-добра от тази на дървото - съответно 0,06 W / m * s срещу 0,09 W / m * s.
- Индексът на звукопоглъщане на плоча с дебелина 100 мм е 50 dB, което осигурява повишен комфорт.


- Количеството на сорбцията е незначително и не надвишава 4% от обема.
- Температурният диапазон за използване на материала е много широк - от -200 до + 500C. При по-висока температура (от + 540С) плочите започват да се деформират, но не отделят токсични газове или пари. Топлоустойчивостта прави възможно използването на пяно стъкло в съоръжения, които са предмет на повишени изисквания за пожарна безопасност.
- Химичната инертност е висока. Материалът не взаимодейства с киселини, основи, петролни продукти и други агресивни среди.
Предимства от използването на пяно стъкло
- В допълнение към високите физически и технически характеристики, сред предимствата може да се отбележи абсолютната екологична чистота. Материалът се препоръчва за използване в сгради с повишени изисквания за санитарни и хигиенни условия.
- Постелките не променят размера си през целия период на обслужване. Стъклените клетки не се деформират при експлоатационни натоварвания и сезонни температурни промени.По този начин не се допуска образуването на студени мостове поради компресия, провисване, подуване или свиване.


- Пяно стъклото не е обект на гниене и развитие на корозионни процеси. Също така, той не е привлекателен за микроорганизми, плесени, гъби и гризачи, което показва биологична устойчивост. Поради горните предимства експлоатационният живот на блоковете е най-малко 100 години.
- Топлоизолационният материал е лесен за обработка. Може да се реже, пробива и пили без трохи и пукнатини. Може да се комбинира с почти всички видове строителни материали: цимент, тухли, железни повърхности, държи добре довършителните смеси.
Недостатъци на изолация от пяно стъкло
- Основният недостатък е високата цена, тъй като самият производствен процес е сложна технологична задача. За производството на изолация под формата на обвивка се изисква допълнително оборудване, което води до увеличаване на себестойността на крайния продукт.
- Може да се отбележи още един недостатък - ниска устойчивост на ударни натоварвания. Но този показател не е критичен, тъй като изолацията не е подложена на такива тестове.
Внимание! "Аналози"
- На пазара се представя по-евтин аналог, който е направен от течно стъкло. Крайният продукт не се различава по здравина и устойчивост на влага. В основата си това е поресто лепило.
- Единственият плюс на такъв материал е неговата ниска цена, която може да бъде 2 или дори 3 пъти по-малка от тази на продуктите от пяно стъкло, направени от твърди суровини.
Приложение от пяна стъкло
Поради своите топлоизолационни свойства, материалът се използва:
- в гражданското строителство. Той се използва широко за топлоизолация на инженерни комуникации. Този материал се използва за оборудване на "топли подове", експлоатирани покриви, тавани, мазета, основи. Те също изолират вътрешната и външната стени;


- в спортни съоръжения. Блоковият и гранулиран материал се използва широко при изграждането на ледени арени, басейни, детски площадки и други съоръжения, към които се налагат специални изисквания;
- в промишлени съоръжения. Разпененото разпенено стъкло работи за намаляване на експлоатационните разходи поради високата си термична устойчивост. Следователно приложението му е от значение не само за наземни, но и за подземни конструкции, като: заровени резервоари и други контейнери;
- в националната икономика. Натрошен камък от пяно стъкло дава възможност за издигане на сгради върху глинести и блатисти почви. Той осигурява надеждна топлоизолация за ферми, предназначени за отглеждане на домашни птици, говеда и др.


- в подобряването на домашните градини. Насипният материал от пяна в стъкло намери своето приложение в подреждането на оранжерии и парници. Експлоатационните характеристики позволяват да се оформи релефът на площадката, да се оборудват пешеходни пътеки, да се създадат габиони и да се използват в дренажни системи и подземни води. Те също изолират заровени контейнери.
Подобряване на ефективността
- При избора на дебелината на плочите е необходимо да се вземат предвид топлоизолационните свойства на материала, използван за изграждането на къщата. Така че за външна изолация на тухлени, бетонни и силикатни стени се използват плочи от пяна с дебелина 120 мм.
- За сгради, изработени от дърво, пяна и керамзитобетонни блокове, този топлоизолационен материал с дебелина 80-100 мм е подходящ.
- Вътрешните изолационни работи се извършват с помощта на разтопено стъкло с дебелина 60 mm. Плочите са фиксирани с лепила, тънки дюбели и стоманени L-образни скоби.


- За системата "топъл под", основите и междуетажните (тавански) подове се използва гранулиран материал. Той ще запълни всички кухини и ще осигури необходимата топлоизолация. Изчисляването на дебелината на слоя се основава на температурните условия в района на пребиваване.
Монтаж на пяно стъкло
- За фиксиране на изтривалките се използва специално лепило от пяно стъкло. Нанася се върху задната и 2 странични стени. Разтвори, съдържащи цимент и съединения на основата на битум са равномерно разпределени по периметъра.
- Ако на повърхността има леки издутини или вдлъбнатини, препоръчително е да нанесете лепилната смес върху пяно стъклото с „шамари“ (поне 5 парчета на плоча). С този метод разходът на лепило ще се увеличи, но основата ще стане възможно най-равномерна.
- За дървени повърхности използвайте специални дюбели. Това е така, защото дървото е обект на термично разширение. В тази връзка плочите трябва да бъдат фиксирани механично, което ще позволи на блоковете от пяна да се "движат" след дървото.
- Преди да инсталирате дъските върху вертикални повърхности, на нивото на мазето под нивото се монтира хоризонтална лента. Това може да бъде бар или метален профил, ако е необходимо, клиновете се поставят между основата и релсата. Празното пространство се запълва с пяна.
- Първият ред изолация е инсталиран на профил, който действа като опора. След втвърдяването на лепилото опората се демонтира. За надеждност е по-добре да премахнете хоризонталната лента след завършване на цялата работа.


- Подложки от пяна от стъкло са монтирани на стени и скатни покриви отдолу нагоре, на хоризонтални повърхности (например на междуетажни тавани, основи) в посока - "към вас", тоест от далечния ъгъл.
- Полагането на продукти от пяно стъкло се извършва близо един до друг със задължителното изместване на един ред спрямо другия (с превръзка на шевовете). Ако в допълнение към лепилото се планира допълнително да се използват дюбели, тогава техните крепежни елементи се правят след пълното изсъхване на свързващата смес.
- Топлоизолационните плоскости около отворите на прозорци или врати, комини и други елементи са монтирани на твърди парчета. Докинг на разпенени стъклени блокове на ъглови линии не е разрешено.
Технология за подреждане на стъкло от пяна
Познавайки метода за закрепване на този материал, можете бързо и лесно да извършите изолацията на всички предмети в процес на изграждане. Правилното поставяне на всички слоеве ще помогне да се подобри ефективността на топлоизолацията.
Уникалните физически и технически свойства позволяват да се намали дебелината на "тортата" и да се откаже използването на вятърни и влагозащитни мембрани. По-долу е най-честото използване на плочи от пяно стъкло.
- Тежка облицовъчна стена... Изделия от разпенено стъкло се стопяват върху стоманобетонна или тухлена повърхност. Допълнителното фиксиране се извършва механично (4-5 дюбели на плоча). След полагането на целия периметър те преминават към монтаж на метален профил, предназначен за облицовъчен камък. Тази опция е приложима и за подреждане на мазето.


- Гипсова стена... Подложки от пяна от стъкло са прикрепени към тухлена зидария или стени, издигнати от блокове от пяна или газобетон с помощта на лепилен състав. Преди да нанесете довършителния материал, дъските се покриват с припокриваща се мрежа (най-малко 100 mm). Фиксира се с дискови дюбели с шайби под налягане. Дебелината на слоя мазилка може да бъде до 30 мм.
- Стена с облицовъчни тухли... Тухлената основа е залепена с плочи от пяно стъкло. По-удобно е да се поставят гъвкави връзки след полагане на изолацията, а не преди нейното инсталиране. След това се издига облицовъчна тухлена зидария. Тук можете да използвате и гранулиран материал, който се излива между основната и облицовъчната стена при издигането на последната (разстоянието между зидарията е най-малко 250 мм).
- Стена за профилиран лист... Стенните повърхности са покрити с подложки от пяна. Върху тях се подрежда щайга от дървени летви или метален профил. Крепежните елементи се избират в зависимост от материала, от който са издигнати стените.Профилираните листове се монтират по подходящата технология (отдолу нагоре и отляво надясно, с припокриване по хоризонталното и вертикалното ниво).


- Вътрешни стени (прегради)... Работата на закрито не се различава много от външната инсталация на представената изолация. Изолацията също е прикрепена към повърхността, която е покрита със слой мазилка (можете да монтирате профила под гипсокартон).
- Покрив за рулонни материали... Стоманобетонната плоча, ако е необходимо, е покрита с битумно-полимерен грунд, който осигурява високо ниво на защита от влага. След това върху блока от пяно стъкло се нанася горещ битумен разтвор на мастика или лепило и се фиксира върху повърхността с лек натиск. Готовият плат се обработва с горещ битум. С помощта на горелка се разтопява хидроизолационен слой от EPP и след това материал от ролка от типа EKP.


- Покрив с лек наклон за листови покрития... Блоковете от пяна от стъкло са залепени към стоманобетонния под. Можете да използвате специални лепила или битумни мастици. След приключване на работата, повърхността на пяно стъкло е покрита с гореща битумно-полимерна маса. За да се увеличи хидроизолацията на покрива, се използват разтопени ролкови материали. След втвърдяване се извършва обшивка, която съответства на един или друг покривен материал.
- Дървен покрив... Гредите са оборудвани с непрекъсната настилка. Върху него се разстила слой хидроизолационни материали на битумна основа, чието закрепване се извършва механично. След това се монтира пяно стъклото, след това хидроизолационният материал. Сега повърхността е напълно готова за полагане на всякакъв покривен материал.
- Изолация на подове с пяно стъкло... Пяните стъклени плочи се поставят плътно върху бетонна основа или уплътнен слой пясък или цимент. Тук дебелината на плочата ще зависи от очакваните натоварвания. След това полиетиленът се полага на 2 слоя и след това цялата торта се излива с пясъчно-циментова смес. Тази основа е напълно готова за подреждане с различни довършителни материали: линолеум, паркет, керамични плочки и др.


Изделия от пяна от стъкло имат характеристиките, необходими за ефективна топлоизолация на сгради за всякакви цели. Те съчетават: ниски скорости на топлопреминаване, лесна инсталация, дълъг експлоатационен живот, пожаро- и биологична устойчивост, екологична безопасност както за хората, така и за конструкциите.
Видео от пяна от стъкло
Въпреки високата цена на този материал, полагането на пяно стъкло ще изплати всички разходи поради липсата на допълнителни слоеве торта и поради минималните суми в сметките за отопление.
Достойнство
Материалът има много предимства. Нека разгледаме основните.
- Сигурност. Не съдържа вещества, вредни за човешкия организъм.
- Екологичност. Произведено от екологично чисти суровини.
- Хигиена. Има антисептични свойства.
- Устойчивост. Експлоатационен живот - над 100 години.
- Универсалност. Използва се за изолация на всякакви сгради.
- Висока адхезия. Комбинира се с много строителни материали.
- Биологична пасивност. Той не се страхува от гризачи, насекоми и микроорганизми.
- Устойчивост на отрицателното въздействие на климатичните фактори. Той не се страхува от температурни спадове, валежи, UV и т.н.
- Устойчиви на механични фактори. Той не се деформира и не губи свойствата си, тъй като може да издържи на удари и големи натоварвания.
- Не е податлив на влиянието на химични фактори. Не реагира на киселина.
- Устойчив на топлинни фактори. Пяно стъклото е абсолютно негорима изолация.
- Лесно обработване. Изрязва се перфектно с обикновен трион.
Материалът си заслужава, но има недостатъци и има много от тях, за съжаление.


покривна изолация с пяно стъкло
Предимства на пяно стъкло


Пяна от стъкло „наследи“ много от своите предимства от силикатно стъкло.Други получиха поради наличието на газови микрокапсули.
Основните предимства на тази изолация са:
- Отлични характеристики на топлоизолация
... Този почти универсален материал добре изолира стени, основи, покриви и тръби. Той се използва активно за изолиране на обекти с повишена опасност от пожар и където има високи температури. - Устойчивост
... Повечето производители на този материал посочват поне сто години експлоатация без загуба на изолационни качества. Температурните промени няма да доведат до разрушаване на пяно стъклото. Работните му граници са от +650 до -250 градуса. Също така, изолацията не е обект на деформация, свиване и други промени в размерите по време на работа. - Добра звукоизолация
... Блок или слой гранули от пяно стъкло с дебелина 100 милиметра е в състояние да заглуши тътена на трактор под къщата. С такава изолация не можете да се страхувате от проникването на външни звуци. - Негоримост
... Този материал практически не може да гори. При високи температури, пяно стъклото само ще се стопи, без да отделя вредни съединения и дим. - Лесно инсталиране
... Монтажът на блокове или плочи от пяно стъкло е подобен на монтажа на пенобетон. Този материал се изрязва с обикновен трион. Също така е лесно да се работи с него поради ниското си тегло. Кубичен метър изолация тежи около 160 килограма. - Санитарна безопасност
... Пяно стъклото няма да стане място на концентрация на вредители, а също така не произвежда никакви вредни летливи съединения. Може да се използва в обществени сгради, детски заведения и болници.
недостатъци
Разбира се, всяка суровина има отрицателни точки. Пяна от стъкло не е изключение. Преди да закупите материал, е необходимо внимателно да проучите отрицателните точки.
- Висока цена. За производството на суровини е необходимо иновативно високотехнологично оборудване, което води до покачването му. А също така производството на разпенено стъкло изисква високи енергийни разходи.
- Крехкост. Суровините, въпреки здравината си, са много крехки, което води до напукване, ако пренебрегнете препоръките за инсталиране.
- Липса на паропропускливост. Пяно стъклото, както беше казано, не е изложено на разрушителното въздействие на биологични фактори, но повърхността под него е лесна.
- Страх от алкали и флуороводородна киселина. Клетъчното стъкло, подобно на трепетлика, трепери при „гледката“ на алкали и флуороводородна киселина, тъй като те са способни да го унищожат.
- Тежест. Суровините са относително тежки, което се отразява негативно на строителната структура.
- Устойчивост. Разбира се, дълъг експлоатационен живот е плюс. Но материалите, използвани за изграждането на съоръжението, е малко вероятно да издържат повече от 100 години. Това означава, че структурата трябва периодично да се ремонтира и клетъчното стъкло не е предназначено за повторна употреба. Кой изход? Подмяна на изолацията.
- Ниска устойчивост на удар. Клетъчното стъкло не издържа дори на леки удари. Механичното влияние е „смъртта“ на материала. Разбира се, ако изолацията е в конструкцията, тя не се страхува от удари. Той се страхува от тях при транспортиране, разтоварване и инсталиране.
- Невъзможност за „реанимация“. Ако стъклото е повредено, то може да бъде изнесено на сметище. Невъзможно е да се залепят или прикрият пукнатините.
Имотите изиграха жестока шега със стъклена пчелна пита, превръщайки огромен брой предимства в недостатъци.
Основни недостатъци
Въпреки очевидните предимства на пяно стъкло, при избора му като нагревател също трябва да се вземат предвид недостатъците. Те включват:
- Висока цена. На пазара на строителни материали, пяно стъкло е един от най-скъпите изолационни материали. Това се дължи на високата консумация на енергия по време на производството. Освен това за производството е необходимо скъпо оборудване.
- Ниска якост на удар.Материалът има висока якост на натиск, но е доста крехък материал. Следователно, при силни удари, пяновото стъкло може да се напука и такива напукани плочи вече не могат да се използват като изолация.
- Ниска паропропускливост. Това свойство на материала е както неговото предимство, така и недостатък. Въпреки факта, че гъбите и плесените не могат да се образуват в пяна стъклото, повърхността, която покрива, не обменя въздух, поради което могат да се появят огнища на инфекция.
Пяно стъклото е висококачествена и модерна изолация за различни видове повърхности, но при избора му трябва да се вземат предвид и недостатъците.
Подробности за изолацията на дома с пяно стъкло можете да намерите във видеото:
Цена
Цената на ухапвания от пяно стъкло. Цените, разбира се, варират, тъй като зависят от много фактори, но средно можете да закупите блокове за 120-400 долара на кубичен метър. Можете да си купите чинии и черупки, като платите $ 110-350, а можете да получите гранулирана версия, като похарчите $ 35-100 на кубичен метър.
Какво можеш да кажеш? Изолацията от пяна е много съмнително и скъпо начинание, тъй като материалът има много сериозни недостатъци и освен това е невероятно скъп. Но, както се казва, собственикът е майстор. Може би не напразно го наричат суровина на бъдещето. Да купуваш или да не купуваш? Това е въпросът! Изборът е ваш, скъпи читатели.
Топлота и уют във вашия дом, скъпи приятели! Ще се видим на други страници в блога!
Цитат на Мъдростта: Четенето е най-доброто учение (А. С. Пушкин).
Приложение
Характеристика на материала са отличните му топлоизолационни свойства, съчетани с висока якост. Поради това може да се използва за изолиране на мазе, фундамент, носещи стени и тръбопроводи. Ниската степен на водопоглъщане позволява тя да се използва за топлоизолация на мазето, фундамента и мазето. Гранулираният материал може да се използва като топлоизолационна добавка за бетон. За топлоизолация на стени е достатъчно да се запълни в кухините им.


Топлоизолация с гранулирано пяно стъкло
Стъклото от пяна е добре нарязано и пробито, така че е лесно да се направят парчета с желания размер от плочите. В допълнение, плочите държат добре мазилка, шпакловка, лепило и други повърхностни довършителни смеси.
Материалът може да се използва не само за жилищни и обществени пространства. Използва се за корпуси от различно технологично и индустриално оборудване, които работят при високи температури.


Изолация с пяно стъкло
Недостатъци на пяно стъкло
Има много малко недостатъци:
- Теглото. Притежавайки висока плътност, този материал се оказва по-тежък от всички други топлоизолатори.
- Висока цена. Процесът на производство на пяно стъкло е доста трудоемък и сложен и това увеличава цената му. Освен това е възможно да се произвеждат формовани изделия от пяно стъкло само на специално оборудване, което също има отрицателен ефект върху цената на материала.
- Крехкост и ниска устойчивост на механични натоварвания. Както знаете, стъклото е крехък материал и се чупи при удар. Повредените блокове губят някои от своите положителни свойства, например започват да пропускат вода или студ.








