Изчисляване на плащането по стандарти
Необходимо е да се разбере как се изчислява плащането за отопление според стандарта и трябва да използвате тази техника само в случаите, когато в жилищна сграда изобщо няма измервателни уреди, нито общи, нито индивидуални.
Изчисляването на отоплението съгласно стандарта се извършва по следната формула:
- Pi = Si x NT x TT, където
- Si е общата площ на помещението, която консумира топлинна енергия,
- NT е нормативната стойност на потреблението на топлина,
- TT е тарифата, определена от местния доставчик на отоплителни услуги.

Замествайки необходимите стойности във формулата, можете да изчислите разходите за отопление. Степента на потребление може да варира в зависимост от региона, поради което е необходимо да се търси необходимата стойност в съответните нормативни документи. Тарифите също са индивидуални и преди да изчислите отоплението според стандарта, трябва да разберете конкретните стойности.
Как да изчислим плащането за отопление от брояча.
Първоначални данни за изчисляване на плащането на топлина от измервателния уред от предишната статия: показания на топломера за отчетния период, взети заедно с обслужващата организация:
25.10. 2020 г. - 368,12 Gcal 27.11. 2020 г. - 465, 15 Gcal
- през отчетния период се падат 33 дни за изчисляване на плащането за отопление на брояча.
- отчетният период за изчисляване на плащането се установява от отоплителните мрежи от 25.10. 2020 до 25.11.2015 - 31 дни.
- топла вода не се подава в къщата.
- топлинни загуби, съгласно договора, през ноември - 1,15 Gcal.
- прекъсване в доставката на електричество - 16 часа.
Трябва да се има предвид, че топлинните загуби при изчисляване на плащането за топлина от брояча могат да се различават леко от посочените в договора, както нагоре, така и надолу, тъй като при изчисляване на плащането те се коригират спрямо реалната температура на текущия месец според официалния сертификат на Хидрометеорологичния център за вашия район ... Можете да прочетете за това тук ...
Нека изчислим средната стойност на консумираната топлина (топлинна енергия) от брояча на ден
(465, 15 - 368,12) / 33 = 2,94 Gcal
И след час - полезно по-късно, ако топломерът е прекъснал работата си
2,94 / 24 = 0,122512 Gcal / час
Умножаваме консумираната топлина на ден по брояча по броя на дните в отчетния месец
2,94 х 31 = 91,14 Gcal / час
Добавяне на топлинни загуби от интерфейса към измервателни устройства
91,14 + 1,15 = 92,29 Gcal
Ако е имало повреди в работата на топломера или прекъсвания в захранването, ние ще изчислим количеството подценена топлинна енергия.
Имаме прекъсване на електрозахранването от 16 часа.
0,122512 x 16 = 1,96 Gcal
Формулата за изчисляване на общия метър за къща в жилищна сграда
След това трябва да разберете как се разглежда отоплението в жилищна сграда при наличие на общ измервателен уред. Струва си да се отбележи, че измервателните уреди за отопление в жилищна сграда спестяват пари за всички жители. В зависимост от наличието на такова устройство, изчисляването на отоплението се извършва в съответствие с неговите показания. Важното - отделни измервателни уреди вече могат да бъдат инсталирани в отделни апартаменти, но ако те не са във всеки апартамент, тогава изчислението все още се извършва според общите показатели.
Формулата за изчисляване на отоплението чрез общ измервателен уред е както следва:
- Pi = VD x Si / Sob x TT, където
- TT е тарифната цена на топлинна енергия, определена за определен регион от местен доставчик,
- VД - общият обем топлина, консумирана от сградата, която се определя от разликата в показанията на общите измервателни уреди, монтирани на входа и изхода от отоплителния кръг на сградата,
- Si е общата площ на отопляем апартамент, който не е оборудван с индивидуално измервателно устройство,
- Sob е общата отопляема площ в цялата сграда.


Заместването на конкретни стойности се извършва по същия начин, както в предишния пример. Когато формулата отчита всички необходими стойности, можете да изчислите отоплението в жилищна сграда.
Спешни водопроводни услуги
Специализацията на нашата компания е предоставянето на висококачествени ВиК услуги с отлично обслужване и задължителна гаранция за извършената работа. В продължение на много години извършваме ВиК работи с всякаква сложност както в апартаменти, така и в частния сектор. Разполагаме с екип от висококвалифицирани водопроводчици с богат опит в бранша. Работейки в продължение на десет години, ние се научихме да намираме правилното решение дори в най-трудните ситуации.
Ние предлагаме следните водопроводни услуги за нашите клиенти:
- Монтаж и демонтаж на ВиК системи
- Монтаж на всяко ВиК оборудване (монтаж на мивка, монтаж на смесител в банята, монтаж на смесител в кухнята, монтаж на тоалетна чиния, монтаж на бани, монтаж на душ кабина и др.)
- Монтаж и свързване на домакински уреди (пералня, съдомиялна машина, бойлер и др.).
- Ремонт на ВиК оборудване.
- Подмяна на водопроводни тръби в апартамента.
- Обаждане на водопроводчик денонощно Москва и региона.
Основните принципи на работа на водопроводчик от нашата организация
Основният принцип на нашата работа Е индивидуален подход към всеки, защото ние ценим нашите клиенти. Специалистите на нашата компания работят само с най-новото оборудване и използват висококачествени материали. Уверени сме, че само опитен, непрекъснато усъвършенстващ се майстор е в състояние да поеме изцяло отговорността за извършената работа и да гарантира високо качество.
Работим директно с клиенти и затова имаме най-благоприятните условия и за двете страни. За санитарните работи се прилага гъвкава система от отстъпки. За всеки потенциален клиент ние предоставяме безплатна консултация относно избора на материали и информираме по други въпроси от интерес.
Даваме гаранция на всеки клиент ... Благодарение на това можете да сте сигурни, че нашият екип от специалисти извършва водопроводни работи на високо ниво и за кратък период от време.
Инженерни системи: отопление на водоснабдяване:
- Калкулатор на разходите за ремонт на отопление ...
- Калкулатор за водоснабдяване Калкулатор за разходи за водоснабдяване ...
- Въздушно отопление у дома Разходите за инсталиране на икономично отопление на дърва с въздух Монтаж на отоплителен котел Услуга от 6000 до 8500 Монтаж на комин за котел Услуга от 15000 до 28000 Коминни тръби (двоен сандвич от неръждаема стомана) Материали от 18000 до 42000 Топлоустойчиви уплътнители Материали от 800 до 1400 Монтаж на въздушно отопление в помещения. Заключение за ...
- Цени Ние предлагаме на всички наши клиенти квалифицирана помощ при избора на оптимално оборудване, както и консултантска подкрепа на всички етапи на сътрудничество. Ние предлагаме на всички наши клиенти квалифицирана помощ при избора на оптимално оборудване, както и консултантска подкрепа на всички етапи на сътрудничество. За всички…
- Измиване на отопление Например, нашата компания има всички възможности за бърз ремонт на отоплението, тъй като ясно следи за наличието на необходимите материали. Но преди всичко ние винаги се опитваме да идентифицираме дефекта и да извършим замяна, както е планирано, в хода на превантивните мерки ....
- Ремонт на отопление от 12 000 рубли Освен това ще имате време да подготвите всички необходими материали, за да ремонтирате отоплителните тръби възможно най-скоро и да не изключвате системата за дълго време. При липса на резервна отоплителна система, времето за аварийно възстановяване е от значение. Чрез предоставяне на достъп ...
- Отоплителна инсталация Отоплителната инсталация, заедно с устройствата за директен пренос на топлина, включва монтаж на различни видове тръби. Използван полипропилен, изработен по металопластична технология и стандартен, метал. Няма категоричен отговор на въпроса кои са най-добрите. Подсилена пластмаса, идеална за сложни стаи ...
- Подмяна на отоплителен котел от 18 000 рубли Подменяме топлообменник, горелка, секция от чугунен газ, дизел, нагревател на твърдо гориво на разумна цена. Приемаме котелни за преоборудване, ремонт и подмяна на отоплително оборудване в радиус до 220 км от Москва. Работим в Москва, Московска област по подмяна на отоплително оборудване, внос и руски ...
- Монтаж на отопление в лятна вила Монтаж на отопление Характеристики на отопление на страната Отопление на лятна резиденция Отоплителна инсталация Едва наскоро те започнаха да представляват пълноценни структури, които могат да се конкурират с градските апартаменти по отношение на комфорта. Преди това вилните къщи бяха построени набързо сгради с минимум удобства, предназначени за временни ...
- Топли подове от отопление от 420 ₽ / м² Топъл под от водопроводи, една от опциите за отопление на частна къща. Източникът на топлина за отопление с топла вода може да бъде всеки отоплителен котел, работещ на всяко гориво, който е избран въз основа на условията за наличност и икономичност за даден регион. Подовете с водно отопление могат ...
- Началник на инсталация за отопление на водоснабдяване на котелно помещение Началник на монтаж на отопление от 15 000 рубли ► още Началник на монтаж на водоснабдяване от 12 000 рубли ► повече Главен монтаж на котелно помещение от 20 000 рубли ► повече Ако обектът е не повече от 40 км от Московския околовръстен път Допълнителни разстояния се заплащат допълнително Детайли на телефон 8 (495) 744- 67-74 ...
- Разходи за подмяна на котел Разходи за подмяна на котел Попълнете параметрите ...
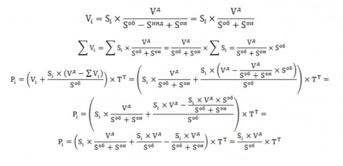
Изчисляване на отоплението по индивидуални измервателни уреди
Сега си струва да разберем как се начислява плащането за отопление на апартамент, при условие че има метър. Ако всеки апартамент в къщата е оборудван със собствен измервателен уред (поне общ), тогава изчисляването на плащането за отопление може да се изчисли според неговите показания. Цената на топлината в този случай се формира от общата топлина, която е взета предвид от индивидуално измервателно устройство, и нивото на общото потребление на домакинството.


Формулата за изчисление е както следва:
- Pi = (Vin + Viun x Si / Srev) x TKP, където
- Vin е общото количество консумирана топлинна енергия, записано от индивидуален измервателен уред,
- Viodn - количеството топлинна енергия, изразходвано за отопление на нежилищни помещения в цялата къща (определено като разлика между общия показател на къщата и сумата от всички метри за апартаменти),
- Si е общата площ на апартамента,
- Sb - общата площ на всички отопляеми помещения в сградата.
Консумацията на топлина се разделя на индивидуална и обща консумация
Първият постулат от Резолюция № 46-P, на който трябва да се обърне внимание, установява процедурата за изчисляване на плащането за комунални услуги за топлоснабдяване. Тъй като жилищната сграда е обемна сградна система, която включва както помещения, така и обща собственост, нейната експлоатация включва не само разходи за отопление в отделен апартамент, но и разходи за общи сградни нужди.
Конституционният съд на Руската федерация също се съгласи с това, като отбеляза в точка 1.1 No 46-P, че изключването на отделни помещения на къщата от централизираната отоплителна система не спира собственика на такова помещение да консумира топлинна енергия за общи нужди на къщата .
Параграф 2 на клауза 40 от ПП № 354 на РФ задължава потребителите да плащат за отоплителни услуги като цяло, без да се дели на потребление на закрито и потребление с цел поддържане на обща собственост. Конституционният съд на Руската федерация го обяви за невалиден (параграф 3, точка 5, № 46-P).
Сега потребителят, който е изключил централизираното отопление в апартамента, може да не плати за това вътре в сградата, но трябва да плати за отоплението, изразходвано за поддръжка на общото имущество на собствениците.
Защо дори е единственият топломер за апартаменти в MKD - изчислен
198969
Изчисляване на отоплението в комуналните апартаменти
Като цяло няма особена разлика в изчисляването на разходите за отопление в комунални апартаменти от описаните по-горе методи - всички формули и показатели са еднакви, просто трябва да замените конкретни стойности. Единствената разлика в начина на начисляване на сметките за отопление в случая на общи апартаменти се свежда до пропорционалното разпределение на плащанията за всяка стая.


Ако все още извършвате специално изчисление за общи апартаменти, получавате следната формула:
- Pj.i = Vi x Sj.i / Ski x TT, където
- Sj.i - жилищна площ на отделна стая,
- Ски е общата площ на всички стаи в общ апартамент.
Отоплението на нежилищни помещения може да не бъде взето под внимание в тази формула, тъй като действителните стойности винаги са минимални.
Въпроси относно заплащането на отоплителни услуги


Слабото отопление на батерията е един от проблемите на централното отопление
В допълнение към липсата на прозрачност в процедурата за изчисляване на плащанията за отопление, има и редица проблеми, свързани с топлофикацията. В повечето случаи те се състоят от качеството на предоставяните услуги, законността на събирането на целогодишни плащания, както и методите за изчисляване на плащането за електрическо отопление.
Уви, в закона за заплащане на услугите за централно отопление са дадени повечето изчисления и евентуално обезщетение за нискокачествени услуги. Получаването на последното е изключително трудно поради документите. Нека разгледаме основните проблеми на топлофикацията и как да ги решим.
Целогодишно или сезонно плащане за отоплителни услуги


Проблеми при изчисляване на целогодишно плащане за топлоснабдяване
През последните пет до седем години се появи нова форма на таксуване на разходите за услуги за централно отопление. Плащането за отопление през лятото се превърна в обичайна практика. Но колко удобно е за потребителя и законно от гледна точка на законодателството?
Проблемът е, че обикновеният потребител не може да избере дали да му плаща за топлоснабдяване през цялата година или само по време на отоплителния сезон. Това решение се взема само между управляващото дружество и топлоснабдителната организация. В редки случаи е възможно да се промени графикът на плащане в съгласие с HOA или жилищната кооперация.
Какви са характеристиките на плащането за отопление през лятото?
- Невъзможност за контрол на уместността на начислената такса. За да го формира, управляващата компания използва много сложни и сложни методи;
- Еднородна финансова тежест за потребителя. Цената на услугите за топлоснабдяване през лятото и зимата винаги е еднаква. Тези. разходите през февруари ще бъдат същите като през август;
- Възможност за вземане на решение за сезонно плащане за топлоснабдяване при наличие на топломери.
Именно поради последната точка жителите на жилищни сгради предпочитат да инсталират общ топломер.
Плащане за отопление на газ и електричество


Газово автономно отопление
Винаги, когато е възможно, много собственици на апартаменти се опитват да изключат от централното отопление. Алтернативно, автономните системи се правят с газови или електрически котли.
На практика можете да се сблъскате с много проблеми при организирането на такива системи за топлоснабдяване. Основната не е да се плаща за електрическо отопление, а да се получи разрешение за оборудването му. И дори след законната инсталация на оборудването, могат да възникнат следните трудности:
- Плащането за отопление с газ ще се начислява на обща основа.Преди това е задължително да инсталирате газомер за консумирания газ;
- Освен това ще трябва да платите за отопление, свързано с общи помещения. Процедурата за изчисляването му е описана по-горе;
- Невъзможно е да се свърже котелът към централната отоплителна система, след като преди това е бил изключен от него. Това ще доведе до отваряне на веригата на общата къща.
Има възможност за икономия при организиране на електрическо отопление. Състои се в предоставяне на преференциална тарифа от доставчика на електроенергия. Но може да се използва само ако къщата няма газопровод. Ако са налични, разходите за услуги за електрозахранване ще бъдат изчислени на обща основа.
Във видеото можете да се запознаете с възможните проблеми при експлоатация на общ топломер:
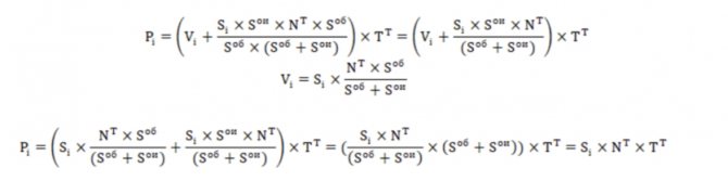
Изчисляване на автономно отопление
Жилищните сгради могат да се справят без централизирано отопление - собственото им котелно помещение се използва за подаване на топлина. С това как да се изчисли отоплението в жилищна сграда при това условие могат да възникнат проблеми - формулата за изчисление е доста сложна и не много удобна. Обемът на топлинната енергия се измерва в GCAL - какво представлява и как се разглежда, ще обсъдим по-нататък.


Формулата за изчисление е както следва:
- Poi = Ev x (Vкрi x Si / Sreb x TКРV), където
- Vкрi - количеството енергия, използвано за генериране на топлинна енергия,
- TKPV е цената на даден ресурс, която се определя от текущите цени на енергийните носители,
- Si е площта на индивидуално жилищно пространство,
- Sb - общата площ на сградата.
Калкулатор на разходите за отопление до ключ
Подово отопление без отоплителна система
Включено в цената:
Оборудване:
- Отоплителни радиатори
- Комплект за облицовка на радиатора
- Спирателни и контролни клапани
- Крепежни елементи за тръби
- Отоплително оборудване на котел (ако е необходимо, избор)
Работа:
- Сглобяване на радиатори
- Инсталиране на радиатора на редовно място
- Монтаж на тръби за радиатори без отчупване на стени, тавани, подове
- Пробиване на стени (с изключение на монолитни и бетонни плочи)
- Монтаж на котелно оборудване (ако е необходимо)
- Кримпване
- Пълнене с охлаждаща течност
- Пускане в експлоатация
Топломери
Топломерите трябва да бъдат инсталирани в съответствие с действащото законодателство. Важен момент - измервателният уред е закупен и инсталиран за сметка на собственика на помещенията.
Работата на топломерите е да се измери разликата в температурите на охлаждащата течност на входа и изхода към системата, като същевременно се вземе предвид обемът на доставената охлаждаща течност. Има два основни типа измервателни уреди - тахометрични и ултразвукови. Последните са много по-скъпи, но високата цена се отплаща с по-висока точност и надеждност на измерването.
Когато купувате брояч, не забравяйте да проверите дали е сертифициран и дали може да се използва за измерване на топлина. Инсталираният топломер трябва да бъде запечатан от специалисти, които имат право да извършват такава работа. Устройствата се проверяват на всеки четири години.


Разходите за топломери обикновено са относително ниски, но трябва да се има предвид, че за инсталирането ще са необходими редица допълнителни елементи:
- Регулиращ клапан;
- Почистващ филтър;
- Спирателни клапани.
За допълнителни артикули ще трябва да платите много. Освен това е наложително да се вземат предвид разходите за поставяне, тръбопроводи и свързване на измервателния уред - тези работи могат да се извършват само от компании, които имат съответните разрешителни. Цената на цялата работа може да бъде дори по-висока от себестойността на измервателния уред, но това са задължителни разходи.


Когато избирате фирма, която ще инсталира измервателния уред, трябва да обърнете внимание и дали неговите специалисти извършват следната работа:
- Изработване на инсталационния проект.
- Координация на проекта с доставчика на отоплителни услуги.
- Първоначална проверка и регистрация на измервателния уред.
- Пускане на устройството в експлоатация.
Разбира се, цената на топломера и работата по неговото инсталиране е доста висока, но всичко това в крайна сметка се компенсира от икономии при заплащане на отопление.
Правила за обжалване
Законодателят не установява ясна структура на заявлението; тя е изготвена под каквато и да е форма и в съответствие с общите правила за работа в офиса. Приложението посочва:
- име и данни на организацията получател;
- лични данни на заявителя;
- адресът на жилищното пространство;
- изявление на искането за преизчисляване на плащането за доставка на услугата;
- периодът, за който плащанията трябва да бъдат преизчислени;
- посочване на основанията с приложението на съответните документи.
Важно е да знаете: Изисквания към квитанциите за жилищни и комунални услуги
Заявлението може да бъде подадено като част от лично посещение в организацията или изпратено с препоръчана поща с потвърждение за получаване (не забравяйте да прикачите списък с прикачени файлове). В случай на личен контакт, копие от документа остава на заявителя, върху него се прави бележка за получаване, като се посочва входящият регистрационен номер.
Плащане за отопление при консумация
Ако плащането за отопление се извършва по време на отоплителния период, тогава при липса на TPU изчисляването на разходите за отопление се извършва въз основа на разходната норма (формула 2 от допълнение 2 към правила 354, колона 2 на ред 2 от масата).
От момента, в който показанията на OPU започват да се приемат за търговско счетоводство, са възможни две опции за изчисление - за случая, когато всички помещения на къщата са оборудвани с IPU за отопление, и за случая, когато не всички стаи са оборудван с IPU.
1. Ако къщата е оборудвана с OPU, а поне една стая не е оборудвана с IMU, се прилага формула 3 от допълнение 2 към правило 354 (колона 2 на ред 3 от таблицата).
2. Ако къщата е оборудвана с контролна зала и всички 100% от помещенията са оборудвани с контролна зала, тогава се прилага формула 3.3 от допълнение 2 към Правило 354 (колона 2 на ред 4 от таблицата).
Следва да се отбележи, че датата на пускане в експлоатация на ОПУ може да не съвпада с датата, от която се отчитат показанията на ОПУ за целите на изчисляването на разходите за консумирана топлинна енергия. Ако OPU е пуснат в експлоатация не от началото на месеца, изглежда неприемливо да се използва количеството топлина, измерено от такова устройство, консумирано през част от месеца. В този случай е необходимо да се използват показанията на брояча от първия ден на месеца, следващ месеца на пускане на устройството в експлоатация.
Формулите за изчисляване на разходите за отопление, в които се прилагат показанията на TPU, съдържат обема на потреблението на топлинна енергия, определен изключително за периода на фактуриране, докато в съответствие с параграф 37 от Правила 354 „Фактурата за плащане на комунални услуги е зададен равен на календарен месец. "
По този начин, ако измервателното устройство е пуснато в експлоатация не от първия ден на месеца, правилното използване на показанията на измервателния уред при изчисления е възможно само при използване на измерванията на уреда, направени от първия ден на месеца, следващ месеца, когато OPU е пуснат в експлоатация.
Най-важните, което трябва да се отбележи в случай на въвеждане в експлоатация на контролната зала при избора на начин на плащане за отопление през отоплителния период: в този случай разходите за отопление се изчисляват по различен начин от първия ден на месеца, следващ месеца при пускане в експлоатация на контролната зала за топлинна енергия (или от момента на пускане в експлоатация на контролната зала, ако такова влизане е направено на първия ден от месеца).
Плащане за отопление равномерно през цялата година
Ако плащането за отопление се извършва равномерно през цялата година, тогава при липса на TPU, разходите за отопление се изчисляват въз основа на разходния коефициент, като се вземе предвид коефициентът на честота (формула 2.1 от допълнение 2 към правила 354, колона 3 на ред 2 от таблицата).
От момента, в който показанията на OPU започват да се приемат за търговско счетоводство, са възможни две опции за изчисление - за случая, когато всички помещения на къщата са оборудвани с IPU за отопление, и за случая, когато не всички стаи са оборудван с IPU.
1. Ако къщата е оборудвана с OPU, а поне една стая не е оборудвана с интензивно отделение, формули 3.1 (обем на консумация на месец) и 3.2 (размер на корекцията) от допълнение 2 към правила 354 (колона 3 на ред 3 от таблицата).
2.Ако къщата е оборудвана с контролна зала и всички 100% от помещенията са оборудвани с IPU, тогава формули 3.3 (обем на консумация на месец) и 3.4 (размер на корекцията) от допълнение 2 към Правило 354 (колона 3 на ред 4 от таблицата).
Трябва да се отбележи, че при равномерно плащане за отопление през цялата година формулите за изчисление съдържат средния месечен обем на потреблението на топлина за предходната година. Такъв обем може да се определи според показанията на контролната зала (и IPU - в случай на оборудване на контролната зала на всички помещения на къщата), но в случай на въвеждане на контролната зала в експлоатация (т.е. при липса на контролната зала през предходната година) е невъзможно да се определят средните месечни обеми на потребление с помощта на измервателни уреди. Съгласно коментара към формулата 3.1 от Приложение 2 на Правила 354 „При липса на показания от общото измервателно устройство на дома за предходната година, средният месечен обем на потреблението на топлинна енергия се определя въз основа на разхода на отоплителната инсталация обслужване."
Най-важните, което трябва да се отбележи в случай на въвеждане в експлоатация на блока за управление на подстанцията при избора на начин на плащане за отопление равномерно през цялата година: в този случай разходите за отопление, представени на потребителите за плащане, не се променят след пускането на контролния блок в операция. Действителният обем на консумация на топлина, определен от ОУ, се използва за коригиране на сметката за отопление и за изчисляване на средното месечно потребление през следващия отоплителен период.
Тарифите за отопление в Русия през 2020 г.
- свързан директно към отоплителната мрежа без междинни точки за преобразуване на енергия - 1 531,26 без ДДС
- свързан към мрежата не директно, а чрез нагревателни пунктове (през пунктове, експлоатирани от организацията на отоплителната мрежа) - 1 932,16 без ДДС
Общата сума в реда "Начислени" по вид плащане "Отопление" се влияе не само от броя квадратни метри на помещенията. Изчисленията също така отчитат топлинните загуби по време на транспортирането на ресурса, съответно плащанията се влияят от състоянието, степента на влошаване, тръбите и оборудването. Именно необходимостта от основен ремонт и модернизация на централизираната система за топлоснабдяване принуждава регионалните власти да повишат тарифите.
Как сами да изчислите сумата
Ще можете сами да изчислите размера на плащането за отопление във вашия апартамент. Но преди това помислете за някои фактори:


- Определете колко месеца в годината се таксува плащането за отопление. Само за периода, когато топла вода се подава към батериите или през цялата календарна година.
- Разберете дали във вашата жилищна сграда е инсталиран общ топломер.
- Разберете дали вашето жилищно пространство е оборудвано с отделен топломер или собствени разпределители на радиатора.
- Определете как отоплителната система във вашия дом се пълни с топла вода. Чрез централната градска система или чрез специално оборудване, инсталирано във вашия дом.
Въз основа на тези параметри можете да използвате определени формули за изчисляване на плащанията за отопление на апартамент.
Как да намалим плащанията
За да се намали размерът на месечните плащания за топлина, единственият начин е да се инсталират индивидуални устройства за измерване на топлината. Но преди това може да срещнете няколко проблема:
- Получаването на разрешение за инсталиране на IPU е трудоемък процес. За да бъде одобрена инсталацията, спецификациите трябва да бъдат потвърдени или подобрени. На тяхна основа се избира подходящ тип метър.
- За редовно плащане за отопление с помощта на индивидуално измервателно устройство, трябва своевременно да изпратите измервателните уреди за проверка. За да го извършите, демонтирайте и преинсталирайте измервателния уред, което води до допълнителни разходи. Ако проверката се извършва по време на отоплителния сезон, тогава плащането за отопление на апартамента за известно време без IPU се извършва съгласно установения стандарт.Ето защо е по-добре да вземете измервателните уреди през лятото, въпреки че по това време може да има големи опашки.
- Скъпа инсталация на IPU. Плащането за услугата за инсталиране на един метър може да достигне 25 хиляди рубли. Някои компании взимат отделна такса за демонтаж. Освен това се заплаща и проверка. И ако измервателният уред не премине проверката в сервиза за поддръжка или се повреди, той трябва да бъде заменен своевременно.


Въпреки трудностите и големите инвестиции по време на първоначалната инсталация, с помощта на отделно устройство, месечните плащания за отопление могат да бъдат значително намалени.





