Много от вас са наблюдавали появата на капчици влага върху повърхности - върху тръби със студена вода, стени на ваната, прозорци, както и когато нещата се преместват от замръзване на стайна температура. Това може да се обясни просто: обектът охлажда околния въздух, провокирайки образуването на конденз.
Появата на влага се дължи на разликата в температурата вътре и извън помещението. Това физическо явление е неразривно свързано с понятието "точка на оросяване". Нека да разберем какво означава терминът, да разгледаме значението му в изолацията на къщата и да дадем примери за самоизчисление.
Физически термин
Постоянно нарастващият и развиващ се пазар на строителни продукти представя широка гама от материали за топлоизолация. Необходимо е правилно да се подходи към избора на топлоизолация за промишлени и жилищни помещения и да се обърне внимание на въпросния показател по време на строителството.

Поради неправилно измерване на точката на оросяване, стените често се замъгляват, появява се мухъл, а понякога и разрушаването на конструкциите
Границата на прехода от ниска температура извън стените към по-висока температура вътре в отопляемите конструкции с възможно образуване на конденз, експертите смятат за точката на оросяване. Капки вода ще се появят на всяка повърхност в стаята, която е близо до или под температурата на точката на оросяване. Най-простият пример: в средата на някои стаи, в студено време, конденз капе върху стъклата на прозореца.
Основните фактори, влияещи върху определянето на стойността, са:
- климатични фактори (температурна стойност и влажност навън);
- температурни стойности вътре;
- индикатор за влажност вътре;
- стойността на дебелината на стените;
- паропропускливост на топлоизолация, използвана в строителството;
- наличието на отоплителни и вентилационни системи;
- предназначение на конструкциите.


Правилното определяне на точката на оросяване е от съществено значение при строителството
Всички физически явления, които се изучават в училищния курс по физика, ни заобикалят без почивки за обяд, сън и празници. Целият живот е физика, по един или друг начин вече овладян от човечеството и все още напълно неизследван. Например много природни явления, признати от физиците, са намерили своето научно въплъщение в практическите дейности на човека.
Ето я сутрешната роса - красотата на лятната утрин. Но от същата роса, която пада в жилищни помещения поради неправилно инсталирани прозорци, счупена хидроизолация и топлоизолация, можете да получите огромен брой проблеми. И някои параметри, когато влагата пада върху околните повърхности, са получили красиво име - точка на оросяване.
Последици от неправилни изчисления


Ако се направи грешка в изчислението по време на строителството на сграда, топлият въздух, излизащ от стаята, ще се сблъска със студен въздух и ще се превърне в конденз. В резултат на това на повърхности, които са под точката на оросяване, ще се появят капчици влага.
Зимният период в повечето региони на страната продължава дълго време, придружен от постоянно ниски температури, така че стените ще бъдат постоянно мокри.
Това явление може да причини много проблеми на жителите.
- Нивото на комфорт в жилищните помещения ще намалее.
- Високата влажност на въздуха в помещенията ще провокира хронични респираторни заболявания.
- Влажните стенни конструкции са идеална среда за растеж на плесени.
Домовете, засегнати от гъбички по стените, започват да се рушат.
Можете сами да коригирате ситуацията. За да направите това, трябва да донесете точката на оросяване от външната страна на стената.
Най-добрият вариант е да изолирате къщата отвън.Това ще помогне да се намали големината на температурната разлика и да се премахне TR навън. Колкото по-дебел е изолационният външен слой, толкова по-малко вероятно е точката на оросяване да падне върху стенните конструкции.
Влажност на въздуха
В правилната дефиниция на понятието "точка на оросяване" има още един важен физически термин - изобарно въздушно охлаждане. Малцина, гледайки локвите на перваза на прозореца, образувани от натрупаната влага върху стъклото, ще си спомнят закона на Гей-Лосак - относителната промяна в обема на дадена маса газ при постоянно налягане е пропорционална на промяната в температурата .
Въпреки че хората чуват за влажността на въздуха всеки ден в прогнозата за времето. Количеството водна пара в околния въздух, взето в обем от 1 cu. m се нарича абсолютна влажност. Но относителната влажност на въздуха е показател за съотношението на количеството водна пара във въздуха (изчислено като процент) към максимално възможното при наличната температура.
И именно при разглеждането на тази характеристика възниква понятието „точка на оросяване“. Какво е? Това е температурата, при която водната пара се насища и се утаява от водни капчици при настоящото налягане. Ако прогнозата за времето показва висока относителна влажност, температурата на точката на оросяване ще се приближи до околната температура.
В ежедневието човек рядко мисли за такова понятие като точка на оросяване. Дефиницията му е важна само в някои индустрии, в строителството, медицината. Но за всички определена влажност на околния въздух е важна за доброто здраве. Когато въздухът е с достатъчна влажност, е лесно и свободно да се диша, но ако този индикатор се промени при постоянно налягане и околна температура, тогава се усеща или сухота, или излишна влажност.
Въз основа на относителната влажност на въздуха може да се определи точката на оросяване. Това явление е много сложен и важен аспект на атмосферната физика. Важно е и за човешкия живот. Например строителите знаят от опит, че точката на оросяване е важен параметър на висококачествена сграда, която засяга целия живот на бъдещите жители или потребители.
Резерв на мощност за отопление
В отоплителните системи са необходими малки резерви на мощност, тъй като мощността на системата ще се увеличи с увеличаване на броя на батериите. За абонатите, свързани към централна отоплителна система, това решение не е критично. Но за индивидуалните потребители на топлина големи количества носят допълнителни разходи за отопление.


След извършване на топлинното изчисление на помещението ще бъде възможно да се идентифицира необходимостта от достатъчно потребление на топлина и да се определи броят на необходимите отоплителни устройства. Всяка отоплителна батерия отделя определено количество топлина, посочено в техническата документация.
Калкулаторът може да изчисли топлинното натоварване за отопление на сграда както за частни къщи, така и за промишлени организации.
Той също така помага в случаи на липса на проектни данни при изчисляване на точните коефициенти на топлопроводимост на стените, както и техния състав. Тази методология се използва успешно при разглеждане на дела в съдилища за съдебни спорове за жилищно-комунални услуги.
Изчисленията са разбираеми дори за обикновените абонати, които не разбират тънкостите на проблемите с топлотехниката. С тяхна помощ те проверяват повторно правилността на монтажа на отоплителни котли в частни къщи или апартаменти.
Когато се изчисляват показателите за топлинни натоварвания върху нагревателни елементи в сграда, трябва да се има предвид:


- предназначението на помещенията;
- характеристики на стени, врати, прозорци, покриви и вентилационни системи;
- размера на сградата;
- наличие на помещения за специални цели;
- наличие на техническо оборудване;
- водоснабдяване с топла вода;
- балсами;
- допълнителни балкони, лоджии и бани в жилището;
- климата на регионите.
Когато изчислявате топлинните загуби, вземете предвид уличната температура.При незначителни температурни разлики ще се изисква по-малко топлинна енергия, за да се компенсират разходите. Ако външната температура е много ниска, ще е необходима по-голяма консумация на топлина.
Формула за изчисление
Tp = b γ (T, RH) a - γ (T, RH), {displaystyle T_ {p} = {frac {b гама (T, RH)} {a-гама (T, RH)}},} a {displaystyle a} = 17.27, b {displaystyle b} = 237.7 ° C, γ (T, RH) = a Tb T lnRH {displaystyle gamma (T, RH) = {frac {a T} {b T}} ln RH}, T {displaystyle T} - температура в градуси по Целзий, RH {displaystyle RH} - относителна влажност в обемни фракции (0 {amp} lt; RH {displaystyle RH} {amp} lt; 1,0). 0 ° C {amp} lt; T {дисплей стил T} {amp} lt; 60 ° C 0,01 {amp} lt; RH {displaystyle RH} {amp} lt; 1,00 0 ° C {amp} lt; Tp {displaystyle T_ {p}} {amp} lt; 50 ° C Tp≈T - 1 - RH0.05. {Displaystyle T_ {p} приблизително T- {frac {1-R! H} {0.05}}.} RH≈1−0.05 (T - Tp). {Displaystyle R! Happrox 1-0,05 (T-T_ {p}).}


Тази формула може да се използва за изчисляване на относителната влажност от известна точка на оросяване
Както можете да видите от формулата, стойността директно зависи от стойностите на два параметъра:
- индекс на влага;
- отчитане на действителната температура.
При висока относителна влажност параметърът става по-висок и по-близо до нивото на действителната температура. За да се изчисли тази променлива, има таблица с малка стъпка от параметри. От него можете да намерите необходимата стойност чрез измерване на относителната влажност и действителната температура.


Таблица 1. Определяне на показателя, използвайки съотношението на влияещите параметри, от които зависи точката на оросяване
Самата точка на оросяване като природен феномен се изчислява по няколко начина. Най-простото е представено от формулата на фигурата по-долу.
В него Т
- точка на оросяване, RH - относителна влажност, Т - температура, цифровите стойности 243.12 и 17.62 са постоянни.
Тази формула дава грешка от 1 0С и ако я вземем предвид, тогава параметърът ще бъде изчислен достатъчно правилно.
Как да изчислим с минимална грешка?


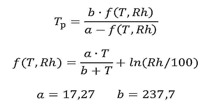
За да определите температурата на точката на оросяване, не е нужно да разчитате на интуицията и да действате „на око“. Има формули, които ще ви позволят точно да определите температурата на кондензация.
За изчисления обикновено се използва следната математическа формула:
TP = (B F (T, RH)): (A-F (T, RH)) Следователно F (T, RH) = A T: (B + T) + LN (RH: 100)
Тук:
- TR - необходимата стойност;
- A – 17,27;
- Б. – 237,7;
- т - вътрешна температура;
- RH - стойност на относителната влажност;
- LN Е естественият логаритъм.
Изчислете точката на оросяване при следните условия: вътрешна температура - 21 0С, влажност на въздуха - 60 %.
Първо се изчислява функцията F (Т,RH)... Заместете желаните стойности и получете следното: 17,27 x 21: (237,7 + 21) + LN (60: 100) = 1.401894 + (-0.51083) = 0.891068.
Определете температурата на точката на оросяване: (237,7 x 0,891068): (17,27 x 0,891068) = 211,087: 16,37893 = 12,93167 ° C
Освен това можете да използвате специални таблици (нормативен документ SP 23-101-2004) или онлайн калкулатор, предлаган от някои строителни обекти.
Точка на оросяване и корозия
Точката на оросяване на въздуха е най-важният параметър за антикорозионна защита, тя показва влажността и възможността за кондензация.
Ако точката на оросяване на въздуха е по-висока от температурата на основата (субстратът обикновено е метална повърхност), тогава на основата ще се получи кондензация на влага.
Боята, нанесена върху кондензиращ субстрат, няма да залепне правилно, освен ако не се използват специално формулирани бои (вижте информационния лист за продукта или спецификацията на боята за помощ).
По този начин последицата от нанасянето на боя върху кондензационна основа ще бъде лоша адхезия и образуване на дефекти като обелване, образуване на мехури и др., Водещи до преждевременна корозия и / или замърсяване.
Защо трябва да определите точката на оросяване в строителството?
Измерването на точката на оросяване е доста проста задача, ако използвате определени формули и правила. Но защо е необходимо хората, занимаващи се със строителство, да знаят този естествен параметър? Тук всичко е много просто - да се разбере процесът на затопляне на помещение, защото слоят, който служи като пречка за студа и влагата, може да бъде разположен както от вътрешната страна на стаята, така и отвън, или може да отсъства изобщо.
- материал и дебелина на материала на всички стенни компоненти;
- стайна температура;
- външна температура;
- влажност на въздуха в помещенията;
- влажност на въздуха извън помещението.
Колкото по-близо е точката на оросяване физически до вътрешната повърхност на стената, толкова по-дълго стената ще бъде мокра. Това ще се случи, когато температурата на въздуха спадне както на открито, така и на закрито. Професионалните строители знаят, че за да се създаде оптимален вътрешен климат в райони със значителни годишни температурни колебания, сградата трябва преди всичко да бъде изолирана отвън, като се изчисли дебелината на изолационния слой, за да се определи правилно физическото местоположение на точката на оросяване в него.
Къде е точката на оросяване


Местоположение на точката на оросяване (TR) могат да бъдат идентифицирани независимо чрез визуална проверка на стената. Нека разгледаме различни ситуации с примери.
- Неизолирани стени... Тук точката може да бъде в средата на конструкцията, като се измества към вътрешната повърхност по време на остри студени щракания. В първия случай вътрешната повърхност ще бъде суха, ако TR постоянно се измества по-близо до вътрешната страна, повърхността ще бъде влажна през студения сезон.
- С външна изолация. Ако работата е извършена правилно, точката на оросяване ще падне върху изолационния слой и тук ще се образува конденз. Това показва правилни конструктивни изчисления. Ако слоят на изолацията е неправилно изчислен, TR може да се намира навсякъде в дебелината на стената.
- С вътрешна изолация. Тук точката неизменно ще бъде изместена към интериора на стаята. Може да се намира в централната част на стената, директно под изолацията. Повърхността на стената или средата на изолационния слой ще бъде частично влажна. В този случай материалът ще бъде мокър през цялата зима.
От дадените примери се вижда, че точката на оросяване няма точно положение и може да се измества при температурни промени.
Точна дефиниция
Стойностите на точката на оросяване в ° C за редица ситуации се определят с помощта на прахов психрометър и специални таблици. Първо се определя температурата на въздуха, след това влажността, температурата на основата и с помощта на таблицата с точките на оросяване се определя температурата, при която не се препоръчва нанасяне на покрития върху повърхността.
Ако не можете да намерите точно вашите показания на психрометъра на прашката, тогава намерете един индикатор с едно разделение по-високо на двете скали, както относителна влажност и температура, а другият индикатор, съответно, с едно разделение по-ниско и интерполирайте необходимата стойност между тях.
ISO 8502-4 се използва за определяне на относителна влажност и точка на оросяване върху стоманени повърхности, подготвени за боядисване.
Таблица на температурите
Стойностите на точката на оросяване в градуси по Целзий при различни условия са дадени в таблица [4].
| Относителна влажност,% | Температура на суха крушка, ° C | ||||||||||
| 0 | 2,5 | 5 | 7,5 | 10 | 12,5 | 15 | 17,5 | 20 | 22,5 | 25 | |
| 20 | −20 | −18 | −16 | −14 | −12 | −9,8 | −7,7 | −5,6 | −3,6 | −1,5 | −0,5 |
| 25 | −18 | −15 | −13 | −11 | −9,1 | −6,9 | −4,8 | −2,7 | −0,6 | 1,5 | 3,6 |
| 30 | −15 | −13 | −11 | −8,9 | −6,7 | −4,5 | −2,4 | −0,2 | 1,9 | 4,1 | 6,2 |
| 35 | −14 | −11 | −9,1 | −6,9 | −4,7 | −2,5 | −0,3 | 1,9 | 4,1 | 6,3 | 8,5 |
| 40 | −12 | −9,7 | −7,4 | −5,2 | −2,9 | −0,7 | 1,5 | 3,8 | 6,0 | 8,2 | 10,5 |
| 45 | −10 | −8,2 | −5,9 | −3,6 | −1,3 | 0,9 | 3,2 | 5,5 | 7,7 | 10,0 | 12,3 |
| 50 | −9,1 | −6,8 | −4,5 | −2,2 | 0,1 | 2,4 | 4,7 | 7,0 | 9,3 | 11,6 | 13,9 |
| 55 | −7,8 | −5,6 | −3,3 | −0,9 | 1,4 | 3,7 | 6,1 | 8,4 | 10,7 | 13,0 | 15,3 |
| 60 | −6,8 | −4,4 | −2,1 | 0,3 | 2,6 | 5,0 | 7,3 | 9,7 | 12,0 | 14,4 | 16,7 |
| 65 | −5,8 | −3,4 | −1,0 | 1,4 | 3,7 | 6,1 | 8,5 | 10,9 | 13,2 | 15,6 | 18,0 |
| 70 | −4,8 | −2,4 | 0,0 | 2,4 | 4,8 | 7,2 | 9,6 | 12,0 | 14,4 | 16,8 | 19,1 |
| 75 | −3,9 | −1,5 | 1,0 | 3,4 | 5,8 | 8,2 | 10,6 | 13,0 | 15,4 | 17,8 | 20,3 |
| 80 | −3,0 | −0,6 | 1,9 | 4,3 | 6,7 | 9,2 | 11,6 | 14,0 | 16,4 | 18,9 | 21,3 |
| 85 | −2,2 | 0,2 | 2,7 | 5,1 | 7,6 | 10,1 | 12,5 | 15,0 | 17,4 | 19,9 | 22,3 |
| 90 | −1,4 | 1,0 | 3,5 | 6,0 | 8,4 | 10,9 | 13,4 | 15,8 | 18,3 | 20,8 | 23,2 |
| 95 | −0,7 | 1,8 | 4,3 | 6,8 | 9,2 | 11,7 | 14,2 | 16,7 | 19,2 | 21,7 | 24,1 |
| 100 | 0,0 | 2,5 | 5,0 | 7,5 | 10,0 | 12,5 | 15,0 | 17,5 | 20,0 | 22,5 | 25,0 |
Обхват на комфорта
Човек с високи стойности на точката на оросяване се чувства неудобно. В континенталния климат условията с точка на оросяване между 15 и 20 ° C причиняват известен дискомфорт, докато въздухът с точка на оросяване над 21 ° C се възприема като задушен. По-ниската точка на оросяване, под 10 ° C, корелира с по-ниските температури на околната среда и тялото изисква по-малко охлаждане [неуточнено 2825 дни].
| Точка на оросяване, ° C | Човешко възприятие | Относителна влажност (при 32 ° C),% |
| повече от 26 | изключително високо възприятие, смъртоносно за пациенти с астма | 65 и нагоре |
| 24—26 | изключително неудобно състояние | 62 |
| 21—23 | много влажно и неудобно | 52—60 |
| 18—20 | неприятно възприемани от повечето хора | 44—52 |
| 16—17 | удобно за повечето, но се усеща горната граница на влажност | 37—46 |
| 13—15 | удобни | 38—41 |
| 10—12 | много удобно | 31—37 |
| по-малко от 10 | малко суха за някои | 30 |
Изчисляването на точката на оросяване е доста сложен алгоритъм, който изисква не само познаване на определени физически параметри, но и способността да се използват определени математически формули.Сложен и доста продължителен процес на изчисление може да бъде премахнат с помощта на таблични стойности. В такива таблици са посочени относителната влажност и околната температура, а пресичането на тези параметри в решетката на таблицата дава температурата на точка на оросяване.
Водните пари най-често се кондензират по самите стени или в тяхната структура, ако не са достатъчно изолирани или изградени. Без изолация стойността ще бъде близка до температурата от вътрешната страна на стената, а в някои случаи и до стената в средата на къщата. Когато температурата вътре в ограждащите конструкции е по-ниска от индикатора, тогава по време на застудяване при отрицателна температура навън, кондензът ще падне.
Има няколко места, където индикаторът може да бъде разположен върху неизолирани конструкции:
- вътре в конструкцията, близо до външната й част, стената ще остане суха;
- вътре в стената, но близо до вътрешността, стената се намокри с температурни промени;
- страната на стената, която е в сградата, постоянно ще бъде покрита с конденз.
Експертите не препоръчват да се изолират помещенията отвътре, обяснявайки това с факта, че когато се използва този метод на топлоизолация, параметърът ще бъде под изолационния слой в средата на помещението. В резултат на това ще се получи голямо натрупване на влага.
- кондензът може да се натрупа в центъра на стената и по време на студено време да се измести към местоположението на топлоизолационните компоненти;
- мястото на натрупване на влага може да бъде границата на ограждащата конструкция и изолационния слой, който се навлажнява и образува плесен в средата на помещенията;
- в средата на самия изолационен слой (той постепенно ще се насити с влага, ще започне да мухлясва и да гние отвътре).


Точката на оросяване се формира от три компонента: атмосферно налягане, температура на въздуха и влажност.
От външната страна на сградата трябва да се постави стиропор, минерална вата или друг вид изолация, което ще позволи стойността да се постави в изолационния слой (при това разположение стените вътре ще останат сухи). За по-ясно разбиране на параметъра има графики за неговото разположение по стените на къщи с изолация, както и върху сгради, които нямат изолационен слой. За да направите сами това изчисление, можете да определите точката на оросяване в стената с калкулатор.
Резултатът от грешките, направени по време на изчисляването на параметрите, ще бъде постоянно натрупване на конденз, висока влажност, развитие на гъбични отлагания и плесени. Индустриалните, административните или жилищните помещения няма да могат да обслужват дълго време: отрицателните процеси ще ускорят разрушаването. Ще са необходими допълнителни разходи за текуща поддръжка и основен ремонт.
Калкулатор за изчисляване на отоплителни радиатори по площ
Калкулаторът на регистър на площ е най-лесният начин за определяне на необходимия брой радиатори на 1м2. Изчисленията се извършват въз основа на нормите на произведения капацитет. Съществуват 2 основни разпоредби на нормите, като се вземат предвид климатичните особености на региона.


Основни норми:
- За умерен климат необходимата мощност е 60-100 W;
- За северните региони нормата е 150-200 вата.
Много хора се чудят защо има толкова голям диапазон в нормите. Но мощността се избира въз основа на първоначалните параметри на къщата. Бетонните конструкции изискват максимална мощност. Тухла - средна, изолирана - ниска.
Всички норми са взети предвид при средна максимална височина на рафта 2,7 m.
За да изчислите секциите, ще трябва да умножите площта по нормата и да разделите по топлопредаването на една секция. В зависимост от модела на радиатора се взема предвид капацитетът на една секция. Тази информация може да бъде намерена в техническите данни. Всичко е съвсем просто и не представлява особени трудности.
Конденз по прозорците
Новите технологии правят живота по-комфортен.Например, пластмасовите прозорци позволиха да се направят сградите по-защитени от капризите на времето, външни звуци, да се затоплят по-ефективно, да се откажат от рутинното есенно-пролетно задължение за запечатване и изкопаване на дограми. Но тази опция работи на 100% само ако прозорците са инсталирани при спазване на всички параметри, включително като се вземе предвид такъв фактор като температурата на точката на оросяване.
Дървените дограми за прозорци, дори и да са добре запечатани, имат естествени микропори, които служат като вид вентилационни канали. За тези рамки се казва, че „дишат“. Но пластмасовите прозорци са лишени от така необходимия компонент за създаване на комфортен микроклимат. Ето защо, когато влажността и температурата престанат да бъдат в определено равновесие, прозорците започват да „плачат“ - влагата се натрупва върху стъклените и пластмасовите прегради, стича се надолу и образува локви по первазите.
Това се отразява негативно на състоянието на помещенията - влагата се повишава, предметите в него могат да станат влажни, плесенясали. Когато инсталирате пластмасови прозорци, винаги трябва да помните, че точката на оросяване зависи от два фактора - температурата на повърхността на прозореца и влажността в помещението.
Еднокамерен прозорец в климат с ниски температури на въздуха във всеки случай ще „плаче“, ако такъв прозорец е в отопляем хол. Ето защо в този случай се препоръчва да се монтират дори не два, а трикамерни прозореца. Тогава вътрешното стъкло ще бъде достатъчно горещо в сравнение с външното стъкло, за да остане сухо.
Много често съвременните производители на прозорци трябва да приемат твърденията, че клиентите им замъгляват прозорците си. Образуването на конденз върху прозорците е не само естетически непривлекателно, но също така заплашва с преовлажняване на дървени конструкции и в резултат на това образуването на плесенясала плесен. Нека да разгледаме възможните причини за конденз на прозорците.
Е, ако това се е случило на прозорците, тогава са виновни само прозорците и техните производители. Логично, това е правилно, но ако в самия прозорец няма вода и той не може да я излъчва, откъде идва кондензатът?
Еднокамерен прозорец с двоен стъклопакет - не трябва да спестявате от прозорци с двоен стъклопакет, както се казва, скъперникът плаща два пъти. Обикновен двоен стъклопакет с една камера (не енергоспестяващ) със сигурност ще ви позволи да се запознаете с конденза на прозорците. За да се елиминира причината за замъгляването, е необходимо да се подмени стъкленият блок, не целият прозорец, а само стъкленият блок.
Неправилно
Правилно
Отоплителните радиатори издухват топъл въздух над прозореца и ако са блокирани от перваза на прозореца, тогава няма да има циркулация на топъл въздух - прозорецът винаги ще бъде студен, в резултат на което на него ще се появи конденз.
Можете да се отървете от появата на конденз, като намалите размера на перваза на прозореца или като извадите батерията извън перваза на прозореца. Ако няма възможност за такива опции, ще трябва да потърсите допълнителен източник за отопление на стъклото.
Лоша вентилация
Вентилационните решетки често са запушени с всякакви боклуци - прах, паяжини, след което те спират да се изтеглят във влажен въздух, влагата се утаява върху стъклото и прозорците започват да плачат. А в старите къщи вентилационните канали са почти винаги запушени и никога не са били почиствани.
Пример за организация на въздушния поток: вентилация и йонизация на въздуха
Можете да премахнете образуването на конденз чрез почистване или подмяна на решетките и ако вентилацията е запушена и няма начин да се почисти, ще трябва да направите допълнителна вентилация.
Наблюдения на точката на оросяване
Най-високата температура на точката на оросяване е била 35 ° C и е регистрирана в Яск (Иран) на 20 юли 2012 г.
Изчисляването на точката на оросяване е важен параметър за извършване на много видове техническа работа, за човешкото здраве. Той е включен във физическите природни явления и може да се отнася до такава наука като метеорологията - наблюдение на времето.Тази област на изучаването на природата възниква много отдавна, но като научна област е организирана през 17 век, когато Галилео Галилей изобретява термометър, а Ото фон Герике - барометър.
Измерванията на температурата, влажността на въздуха, атмосферното налягане позволиха да се направи заключение относно такъв параметър като точката на оросяване. Не е известно точно кога е записано за първи път и е започнало да се използва в различни сфери на човешкия живот, но наблюденията и фиксирането на това физическо явление се извършват постоянно във всички точки на земното кълбо.
Най-високата температура на точката на оросяване е регистрирана в иранския град Яска на 20 юли 2012 г. и е била 35 ° C. Сега можете да разберете защо с увеличаване на влажността на въздуха и температурата на околната среда става трудно да се диша - в това роля играе такъв параметър като точката на оросяване. Какво е? Фактор на съотношението на влажността на въздуха и температурата, при които влагата се кондензира.
Устройство за точка на оросяване
За да се определи TR можете да използвате специални устройства за измерване на влажността на въздуха. Кондензационен хигрометър ще ви помогне да намерите желаната стойност. Устройството е лесно за използване, а принципът на действие се основава на вградена огледална повърхност, която реагира на околната температура.
Първичното измерване определя температурата на огледалото. На повърхността се образува конденз и измерването се повтаря. Разликата в стойностите ще покаже абсолютната или относителната влажност на въздуха. Прецизните настройки на инструмента ви помагат да определите точката на оросяване за всяка повърхност.
Точка на оросяване и разрушаване на метала
Техническите разработки позволиха да не се изчислява точката на оросяване по формули, а да се използва специално устройство, което автоматично определя този параметър за влага и въглеводороди - това е така нареченият анализатор на точката на оросяване. Използва се от професионалисти по време на определени видове работа, например при нанасяне на защитно покритие на устройства и системи, изработени от материали, които са корозирали поради висока влажност.
В края на краищата, ако повърхността преди нанасяне на покритието има недостатъчна сухота, тогава приложената защита няма да работи, тъй като няма да се появи достатъчно сцепление, т.е. сцепление между материалите. Боядисаната повърхност ще се покрие с издутини, пукнатини, а основният материал ще продължи да се влошава дори под защита. За висококачествена защита от корозия е необходимо да се знае точката на оросяване, като се изчислява с помощта на формули и анализатори.
Бележки (редактиране)
- ↑ RMG 75-2004 "GSI. Измерване на съдържанието на влага в веществата. Термини и определения "(от 01.08.2015 г. RMG 75-2014 започва да работи)
- ↑ СП 50.13330.2012 „Топлинна защита на сгради“
- ^ John M. Wallace, Peter V. Hobbs. Водни пари във въздуха // Atmospheric Sience. Уводно проучване .. - Второ издание. - Вашингтон: Academic Press Elsevier, 2006. - S. 83 - 551 с. - ISBN 978-0-12-732951-2.
- ↑ ISO 8502-4, Подготовка на стоманени повърхности преди нанасяне на бои и сродни продукти. Тестове за оценка на чистотата на повърхността. Част 4. Ръководство за оценка на вероятността от конденз преди нанасянето на боята "
Изолация на дома - отвън или отвътре?
Формулата за изчисляване на точката на оросяване в ежедневието е малко полезна за никого. Но в някои индустрии и сфери на човешката дейност е невъзможно да се направи без него. Точката на оросяване, чиято дефиниция беше обсъдена по-горе, е важен параметър за висококачествено строителство и подреждане на помещения за всякакви цели.


Каквато и да е сградата, тя трябва да е суха, което означава, че точката на оросяване в стената трябва да бъде или напълно елиминирана, или намалена до максималното разстояние от вътрешната повърхност. Например, изграждането и изолацията на сгради задължително ще изисква такива изчисления. Днес можете да намерите много указатели на таблици с вече изчислени стойности.
Но много използват формули, за да потвърдят посочените данни и да определят точката на оросяване възможно най-точно за висококачествена топло- и хидроизолация на помещения при специфични условия. В този случай е необходимо да се вземат предвид параметрите на материалите на стените, изолацията, пароизолацията. Опитните строители казват, че точката на оросяване не е стационарен индикатор, тя постоянно се движи с промени във външните фактори.
Вътрешната изолация остава относително популярна въпреки физиката.
Изглежда, защо да не изолирате апартамента в сградата? Особено ако живеете на 10-ия етаж? Идеята е примамлива, но абсолютно абсурдна.
Разбира се, работата у дома със собствените си ръце без алпинизъм или стълби е много по-приятна и удобна, но има редица съществени пречки:
- Един слой изолация ще отреже стените от отоплителната система и през зимата те ще замръзнат. Това ще доведе до бързото им износване.
- Позицията на точката на оросяване в най-добрия случай ще бъде вътре в стената, но най-вероятно ще бъде разположена директно под изолационния слой.
- Обемът на жилищната площ значително ще намалее поради дебелината на топлоизолационния слой.
- Стените ще спрат да абсорбират влагата, влагата в стаята ще се повиши, което ще се чувства неудобно. В някои случаи силното повишаване на влажността води до астма.
- Напоените стени са чудесно местообитание за плесени и бактерии.
Ако моите предупреждения не ви убедиха, прочетете разпоредбите, продиктувани от инструкциите на SNiP и GOST.
Снимката показва опции за защита от влага, но те не решават всички изброени проблеми.
Вътрешната изолация може да бъде оправдана само в случаите, когато външното разположение на топлоизолацията по някаква причина е невъзможно. Най-малката грешка в изчисленията или извършването на работа може да доведе до катастрофални последици.
Водата е сериозен враг на строителните конструкции.
Инструменти за измерване
Концепцията за точката на оросяване се използва широко в газоизмервателни станции, в автомобилни компресорни станции за пълнене на газ, в станции за подземно съхранение и сушене на природен газ, за проверка на влагомери и мокри газогенератори. Точката на оросяване е важна характеристика за висококачествена експлоатация както за жилищни и промишлени помещения, така и за газопроводи и системи за съхранение на газ.
Устройството за измерване на точката на оросяване ви позволява да се откажете от сложни изчисления с помощта на формули и да изчислите този параметър, докато независимо измервате факторите на околната среда - температура, влажност и налягане. Първото разработено устройство е психрометричен хигрометър, нарича се още психрометър. Сега това е лабораторно устройство, което не се използва на практика.
Разработването на електронни изчислителни анализатори не пропусна такъв физически параметър като съотношението на влажност и температура на околния въздух, а оттам и изчисляването на точката на оросяване. Такива устройства са лесни за експлоатация, въпреки че някои модели, включително тези със свойствата на топловизор, изискват обработка на информацията, получена с помощта на специални компютърни програми.