Проектирането и топлинното изчисление на отоплителна система е задължителен етап при подреждането на отоплението на къща. Основната задача на изчислителните дейности е да се определят оптималните параметри на котела и радиаторната система.
Трябва да признаете, че на пръв поглед може да изглежда, че само инженер може да направи изчисление на топлотехника. Не всичко обаче е толкова сложно. Познавайки алгоритъма на действията, ще се окаже, че самостоятелно извършва необходимите изчисления.
Статията описва подробно процедурата за изчисляване и предоставя всички необходими формули. За по-добро разбиране сме подготвили пример за топлинно изчисление за частна къща.
Норми на температурни режими на помещенията
Преди извършване на каквито и да е изчисления на параметрите на системата, е необходимо най-малкото да се знае редът на очакваните резултати, както и да има налични стандартизирани характеристики на някои таблични стойности, които трябва да бъдат заместени във формулите или да се ръководи от тях.
След като извършихме изчисления на параметри с такива константи, можем да бъдем сигурни в надеждността на търсения динамичен или постоянен параметър на системата.

За помещения с различни цели има референтни стандарти за температурните режими на жилищни и нежилищни помещения. Тези норми са залегнали в така наречените GOST.
За отоплителна система един от тези глобални параметри е стайната температура, която трябва да бъде постоянна, независимо от сезона и условията на околната среда.
Според регламента на санитарните норми и правила има разлики в температурата спрямо летния и зимния сезон. Климатичната система е отговорна за температурния режим на помещението през летния сезон, принципът на нейното изчисление е описан подробно в тази статия.
Но стайната температура през зимата се осигурява от отоплителната система. Следователно, ние се интересуваме от температурните диапазони и техните толеранси за зимния сезон.
Повечето нормативни документи предвиждат следните температурни диапазони, които позволяват на човек да се чувства комфортно в една стая.
За нежилищни помещения от офисен тип с площ до 100 м2:
- 22-24 ° С - оптимална температура на въздуха;
- 1 ° С - допустимо колебание.
За помещения от офис тип с площ над 100 m2 температурата е 21-23 ° C. За нежилищни помещения от индустриален тип температурните диапазони се различават значително в зависимост от предназначението на помещенията и установените стандарти за защита на труда.


Всеки човек има своя собствена комфортна стайна температура. Някой обича да е много топло в стаята, на някой му е удобно, когато в стаята е хладно - всичко това е съвсем индивидуално
Що се отнася до жилищните помещения: апартаменти, частни къщи, имения и т.н., има определени температурни диапазони, които могат да се регулират в зависимост от желанията на жителите.
И все пак, за конкретни помещения на апартамент и къща имаме:
- 20-22 ° С - хол, включително детска стая, толеранс ± 2 ° С -
- 19-21 ° С - кухня, тоалетна, толеранс ± 2 ° С;
- 24-26 ° С - баня, душ, плувен басейн, толеранс ± 1 ° С;
- 16-18 ° С - коридори, коридори, стълбища, складове, толеранс + 3 ° С
Важно е да се отбележи, че има още няколко основни параметъра, които влияят на температурата в помещението и върху които трябва да се съсредоточите при изчисляване на отоплителната система: влажност (40-60%), концентрация на кислород и въглероден диоксид във въздуха (250: 1), скоростта на движение на въздушната маса (0,13-0,25 m / s) и др.
Механизми за топлообмен при изчисляването на топлообменниците
Топлопредаването се осъществява чрез три основни вида топлообмен. Това са конвекция, топлопроводимост и лъчение.
При топлообменните процеси, протичащи в съответствие с принципите на механизма на топлопроводимост, топлопредаването възниква като пренос на енергията на еластични вибрации на молекули и атоми. Тази енергия се предава от един атом на друг в посока на намаляване.
При изчисляване на параметрите на топлопреминаване съгласно принципа на топлопроводимост се използва законът на Фурие:
За изчисляване на количеството топлина се използват данни за времето на преминаване на потока, площта, температурния градиент, както и за коефициента на топлопроводимост. Температурният градиент се разбира като неговата промяна в посоката на топлопредаване на единица дължина.
Коефициентът на топлопроводимост се разбира като скорост на топлопреминаване, тоест количеството топлина, което преминава през една единица повърхност за единица време.
Всички термични изчисления отчитат, че металите имат най-високия коефициент на топлопроводимост. Различните твърди вещества имат много по-ниско съотношение. А за течностите този показател като правило е по-нисък, отколкото за някое от твърдите вещества.
При изчисляване на топлообменниците, където преносът на топлина от една среда към друга преминава през стената, уравнението на Фурие също се използва за получаване на данни за количеството пренесена топлина. Изчислява се като количеството топлина, което преминава през равнина с безкрайно малка дебелина :.
Ако интегрираме показателите за температурни промени по дебелината на стената, получаваме
Въз основа на това се оказва, че температурата вътре в стената пада според закона на права линия.
Механизъм за конвекционен топлопренос: изчисления
Друг механизъм за пренос на топлина е конвекцията. Това е преносът на топлина по обеми на средата чрез взаимното им движение. В този случай преносът на топлина от средата към стената и обратно, от стената към работната среда, се нарича пренос на топлина. За да се определи количеството топлина, което се предава, се използва законът на Нютон
В тази формула a е коефициентът на топлопреминаване. При турбулентно движение на работната среда този коефициент зависи от много допълнителни количества:
- физически параметри на флуида, по-специално топлинен капацитет, топлопроводимост, плътност, вискозитет;
- условията за измиване на топлообменната повърхност с газ или течност, по-специално скоростта на флуида, неговата посока;
- пространствени условия, които ограничават потока (дължина, диаметър, форма на повърхността, грапавостта му).
Следователно коефициентът на топлопреминаване е функция на много количества, което е показано във формулата
Методът за анализ на размерите позволява да се получи функционална връзка между критериите за сходство, които характеризират топлопреминаването в турбулентния характер на потока в гладки, прави и дълги тръби.
Това се изчислява по формулата.
Коефициент на топлопреминаване при изчисляването на топлообменниците
В химическата технология често има случаи на обмен на топлинна енергия между две течности през разделителна стена. Процесът на топлообмен преминава през три етапа. Топлинният поток за стационарен процес остава непроменен.
Извършва се изчисляването на топлинния поток, преминаващ от първата работна среда към стената, след това през стената на повърхността за пренос на топлина и след това от стената към втората работна среда.
Съответно за изчисления се използват три формули:
В резултат на съвместното решение на уравненията получаваме
Количеството
и има коефициент на топлопреминаване.
Изчисляване на средната температурна разлика
Когато необходимото количество топлина е определено с помощта на топлинния баланс, е необходимо да се изчисли топлообменната повърхност (F).
При изчисляване на необходимата повърхност на топлообмен се използва същото уравнение, както при предишните изчисления:
В повечето случаи температурата на работната среда ще се промени по време на процесите на топлообмен. Това означава, че температурната разлика ще се промени по повърхността на топлообмена. Следователно се изчислява средната температурна разлика.И поради факта, че температурната промяна не е линейна, се изчислява логаритмичната разлика. За разлика от праволинейния поток, с обратен поток на работната среда, необходимата площ на повърхността на топлообмена трябва да бъде по-малка. Ако в същия ход на топлообменника се използват както директен, така и противотоков поток, температурната разлика се определя въз основа на съотношението.
Изчисляване на топлинните загуби в къщата
Според втория закон на термодинамиката (училищна физика) няма спонтанен трансфер на енергия от по-малко нагряти към по-нагрети мини- или макрообекти. Специален случай на този закон е „стремежът“ да се създаде температурно равновесие между две термодинамични системи.
Например първата система е среда с температура -20 ° C, втората система е сграда с вътрешна температура + 20 ° C. Според горния закон тези две системи ще се стремят да балансират чрез обмен на енергия. Това ще се случи с помощта на топлинни загуби от втората система и охлаждане в първата.


Недвусмислено може да се каже, че температурата на околната среда зависи от географската ширина, на която се намира частната къща. А температурната разлика влияе върху количеството изтичане на топлина от сградата (+)
Загубата на топлина означава неволно отделяне на топлина (енергия) от някакъв обект (къща, апартамент). За обикновен апартамент този процес не е толкова „забележим“ в сравнение с частна къща, тъй като апартаментът се намира вътре в сградата и „съседи“ на други апартаменти.
В частна къща топлината „излиза“ в една или друга степен през външните стени, пода, покрива, прозорците и вратите.
Познавайки размера на топлинните загуби за най-неблагоприятните метеорологични условия и характеристиките на тези условия, е възможно да се изчисли с висока точност мощността на отоплителната система.
И така, обемът на изтичане на топлина от сградата се изчислява по следната формула:
Q = Qfloor + Qwall + Qwindow + Qroof + Qdoor + ... + Qiкъдето
Ци - обема на топлинните загуби от равномерния външен вид на обвивката на сградата.
Всеки компонент на формулата се изчислява по формулата:
Q = S * ∆T / Rкъдето
- Въпрос: - термични течове, V;
- С - площ на определен тип конструкция, кв. m;
- ∆T - температурна разлика между околния и вътрешния въздух, ° C;
- R - термично съпротивление на определен тип конструкция, m2 * ° C / W.
Самата стойност на термичното съпротивление за действително съществуващи материали се препоръчва да се вземе от помощните таблици.
В допълнение, термичното съпротивление може да се получи, като се използва следното съотношение:
R = d / kкъдето
- R - термично съпротивление, (m2 * K) / W;
- к - коефициент на топлопроводимост на материала, W / (m2 * K);
- д Е дебелината на този материал, m.
В по-старите къщи с влажна покривна конструкция изтичането на топлина възниква през горната част на сградата, а именно през покрива и тавана. Извършването на мерки за затопляне на тавана или топлоизолация на таванския покрив решава този проблем.


Ако изолирате таванското пространство и покрива, тогава общите топлинни загуби от къщата могат да бъдат значително намалени.
Има няколко други вида топлинни загуби в къщата чрез пукнатини в конструкции, вентилационна система, кухненски аспиратор, отваряне на прозорци и врати. Но няма смисъл да се взема предвид техният обем, тъй като те съставляват не повече от 5% от общия брой на основните течове.
Тепловизионна инспекция на отоплителната мрежа
Изчисляването на топлинните загуби в отоплителните мрежи беше допълнено с изследване на термични изображения.
Термообразната проверка на отоплителната мрежа помага да се открият локални дефекти в тръбопроводите и топлоизолацията за последващ ремонт или подмяна.


Топлоизолацията на тръбопроводите с топлоносител е повредена. Максималната температура на открито е 59,3 ° C


Частично разрушаване на топлоизолация на тръбопроводи с охлаждаща течност. Максималната температура на открито е 54,5 ° C


Частично разрушаване на топлоизолация на тръбопроводи с охлаждаща течност. Максималната температура на открито е 56,2 ° C


Топлоизолацията на тръбопроводите с охлаждащата течност е повредена.Максималната температура на открито е 66,3 ° C


Отворени участъци от тръбопроводи без изолация.


Отворени участъци от тръбопроводи без изолация.


Частично разрушаване на топлоизолация на тръбопроводи с охлаждаща течност.


Частично разрушаване на топлоизолация на тръбопроводи с охлаждаща течност. Максималната температура на откритите места е 62,5 ° C


Частично разрушаване на топлоизолация на тръбопроводи с охлаждаща течност. Максималната температура на открито е 63,2 ° C


Частично разрушаване на топлоизолация на тръбопроводи с охлаждаща течност. Максималната температура на открито е 63,8 ° C


Частично разрушаване на топлоизолация на тръбопроводи с охлаждаща течност. Максималната температура на открито е 66,5 ° C


Частично разрушаване на топлоизолация на тръбопроводи с охлаждаща течност. Максималната температура на открито е 63,5 ° C


Частично разрушаване на топлоизолация на тръбопроводи с охлаждаща течност. Максималната температура на открито е 69,5 ° C


Частично разрушаване на топлоизолация на тръбопроводи с охлаждаща течност. Максималната температура на открито е 62,2 ° C


Частично разрушаване на топлоизолация на тръбопроводи с охлаждаща течност. Максималната температура на открито е 52,0 ° C


Отворени участъци от тръбопроводи без изолация. Максималната температура на открито е 62,4 ° C


Частично разрушаване на топлоизолацията на тръбопроводите с охлаждаща течност под въздействието на околната среда.
Научете за проучването на водоснабдителните системи.


Частично разрушаване на топлоизолацията на тръбопроводите с охлаждаща течност под въздействието на околната среда.


Частично разрушаване на топлоизолация на тръбопроводи с охлаждаща течност. Максималната температура на открито е 67,6 ° C


Частично разрушаване на топлоизолация на тръбопроводи с охлаждаща течност. Максималната температура на открито е 58,8 ° C


Частично разрушаване на топлоизолацията на тръбопроводите с охлаждаща течност под въздействието на околната среда.
Определяне на мощността на котела
За да се поддържа температурната разлика между околната среда и температурата вътре в къщата, е необходима автономна отоплителна система, която поддържа желаната температура във всяка стая на частна къща.
Основата на отоплителната система са различни видове котли: течно или твърдо гориво, електрически или газови.
Котелът е централният възел на отоплителната система, който генерира топлина. Основната характеристика на котела е неговата мощност, а именно скоростта на преобразуване на количеството топлина за единица време.
След изчисляване на топлинното натоварване за отопление, получаваме необходимата номинална мощност на котела.
За обикновен многостаен апартамент мощността на котела се изчислява чрез площта и специфичната мощност:
Rboiler = (Sroom * Rudelnaya) / 10където
- S стаи- общата площ на отопляемото помещение;
- Rudellnaya- плътност на мощността спрямо климатичните условия.
Но тази формула не отчита топлинните загуби, които са достатъчни в частна къща.
Има и друга връзка, която взема предвид този параметър:
Р бойлер = (Qloss * S) / 100където
- Rkotla- мощност на котела;
- Qloss- загуба на топлина;
- С - отопляема площ.
Номиналната мощност на котела трябва да се увеличи. Запасът е необходим, ако планирате да използвате бойлера за отопление на водата за банята и кухнята.


В повечето отоплителни системи за частни къщи се препоръчва да се използва разширителен резервоар, в който ще се съхранява запас от охлаждаща течност. Всяка частна къща се нуждае от водоснабдяване с топла вода
За да се осигури резервът на мощността на котела, към последната формула трябва да се добави коефициентът на безопасност K:
Р бойлер = (Qloss * S * K) / 100където
ДА СЕ - ще бъде равно на 1,25, тоест очакваната мощност на котела ще бъде увеличена с 25%.
По този начин мощността на котела дава възможност да се поддържа стандартната температура на въздуха в помещенията на сградата, както и да има първоначален и допълнителен обем топла вода в къщата.
Кратко описание на отоплителната мрежа
За покриване на топлинните натоварвания се използва котелно помещение за производство и отопление, чието основно гориво е природният газ.
Котелно помещение генерира
- пара за технологични нужди - целогодишно
- топла вода за отоплителни нужди - през отоплителния сезон и
- водоснабдяване с топла вода - целогодишно.
- Проектът предвижда работата на отоплителната мрежа съгласно температурен график от 98/60 градуса. ОТ.
Схемата за свързване на отоплителната система зависи.
Отоплителните мрежи, осигуряващи пренос на топлина за нуждите от отопление на цялото село и водоснабдяване на дясната му брегова част, са инсталирани във надземния и подземния вариант.
Отоплителната мрежа е разклонена, задънена улица.
Отоплителните мрежи са въведени в експлоатация през 1958 г. Строителството продължава до 2007 г.
Направена топлоизолация
- рогозки от стъклена вата с дебелина 50 мм, с покривен слой от рулонен материал,
- екструдиран пенополистирол тип TERMOPLEKS с дебелина 40 мм, с покривен слой от поцинкована ламарина и експандиран полиетилен с дебелина 50 мм.
По време на операцията бяха ремонтирани някои участъци от отоплителната мрежа с подмяна на тръбопроводи и топлоизолация.
Характеристики на избора на радиатори
Радиаторите, панелите, системите за подово отопление, конвекторите и др. Са стандартни компоненти за осигуряване на топлина в помещение.Най-често срещаните части на отоплителната система са радиаторите.
Радиаторът е специална куха модулна конструкция, изработена от сплав с голямо разсейване на топлината. Изработен е от стомана, алуминий, чугун, керамика и други сплави. Принципът на действие на отоплителния радиатор се свежда до излъчването на енергия от охлаждащата течност в пространството на помещението през „венчелистчетата“.


Алуминиев и биметален радиатор за отопление замени масивните чугунени радиатори. Лесното производство, голямото разсейване на топлината, добрата конструкция и дизайн направиха този продукт популярен и широко разпространен инструмент за излъчване на топлина на закрито.
Има няколко метода за изчисляване на отоплителните радиатори в една стая. Списъкът на методите по-долу е сортиран с цел увеличаване на изчислителната точност.
Опции за изчисление:
- По площ... N = (S * 100) / C, където N е броят на секциите, S е площта на помещението (m2), C е топлопредаването на една секция на радиатора (W, взето от този паспорт или сертификат за продукта), 100 W е количеството топлинен поток, което е необходимо за отопление на 1 m2 (емпирична стойност). Възниква въпросът: как да се вземе предвид височината на тавана на стаята?
- По обем... N = (S * H * 41) / C, където N, S, C - по подобен начин. H е височината на помещението, 41 W е количеството топлинен поток, необходимо за отопление на 1 m3 (емпирична стойност).
- По коефициенти... N = (100 * S * k1 * k2 * k3 * k4 * k5 * k6 * k7) / C, където N, S, C и 100 са подобни. k1 - като се вземе предвид броят на камерите в стъкления блок на прозореца на помещението, k2 - топлоизолация на стените, k3 - съотношението на площта на прозорците към площта на помещението, k4 - средната минусова температура през най-студената зимна седмица, k5 - броят на външните стени на стаята (които „излизат“ на улицата), k6 - тип стая отгоре, k7 - височина на тавана.
Това е най-точният начин за изчисляване на броя на секциите. Естествено, резултатите от дробното изчисление винаги се закръгляват до следващото цяло число.
Общи разпоредби
Всеки прост метод на изчисление има доста голяма грешка. От практическа гледна точка обаче за нас е важно да осигурим гарантирана достатъчна топлинна мощност. Ако се окаже по-необходимо дори в пика на зимния студ, какво от това?
В апартамент, където отоплението се плаща по площ, топлината на костите не боли; и регулирането на дроселите и термостатичните регулатори на температурата не са нещо много рядко и недостъпно.
В случай на частна къща и частен котел, цената на киловат топлина ни е добре известна и изглежда, че излишното отопление ще ви удари в джоба. На практика обаче това не е така. Всички модерни газови и електрически котли за отопление на частна къща са оборудвани с термостати, които регулират преноса на топлина в зависимост от температурата в помещението.
Термостатът ще предпази котела от загуба на излишна топлина.
Дори ако нашето изчисление на мощността на отоплителните радиатори дава значителна грешка в голяма степен, ние рискуваме само разходите за няколко допълнителни секции.
Между другото: в допълнение към средните зимни температури, на всеки няколко години настъпват екстремни студове.
Има подозрение, че поради глобалните климатични промени те ще се случват все по-често, така че когато изчислявате отоплителните радиатори, не се страхувайте да направите голяма грешка.
Хидравлично изчисление на водоснабдяването
Разбира се, „картината“ на изчисляването на топлината за отопление не може да бъде пълна, без да се изчислят такива характеристики като обема и скоростта на топлоносителя. В повечето случаи охлаждащата течност е обикновена вода в течно или газообразно агрегатно състояние.


Препоръчително е да се изчисли реалният обем на топлоносителя чрез сумиране на всички кухини в отоплителната система. Когато използвате едноконтурен котел, това е най-добрият вариант. Когато използвате двуконтурни котли в отоплителната система, е необходимо да се вземе предвид консумацията на топла вода за хигиенни и други битови цели.
Изчисляването на обема на водата, загрята от двуконтурен котел за осигуряване на жителите на топла вода и отопление на охлаждащата течност, се извършва чрез сумиране на вътрешния обем на отоплителния кръг и реалните нужди на потребителите в отопляема вода.
Обемът на топлата вода в отоплителната система се изчислява по формулата:
W = k * Pкъдето
- W - обема на топлоносителя;
- P - мощност на отоплителния котел;
- к - фактор на мощността (броят литри на единица мощност е 13,5, обхват - 10-15 литра).
В резултат крайната формула изглежда така:
W = 13,5 * P
Дебитът на отоплителната среда е окончателната динамична оценка на отоплителната система, която характеризира скоростта на циркулация на течността в системата.
Тази стойност помага да се оцени видът и диаметърът на тръбопровода:
V = (0.86 * P * μ) / ∆Tкъдето
- P - мощност на котела;
- μ - ефективност на котела;
- ∆T - температурната разлика между подаващата и връщащата вода.
Използвайки горните методи за хидравлично изчисление, ще бъде възможно да се получат реални параметри, които са „основата“ на бъдещата отоплителна система.
Относно избора и топлинното изчисляване на отоплителни устройства
На кръглата маса бяха обсъдени редица въпроси, като например създаването на система за проверка на инженерните системи на сгради и конструкции, спазване от производителите, доставчиците и търговските вериги на изискванията за защита на правата на потребителите, задължително тестване на отоплителни устройства със задължително посочване на условията за изпитване на устройства, разработване на правила за проектиране и използване на отоплителни уреди. По време на дискусията отново беше отбелязана незадоволителната работа на инструментите.
В тази връзка бих искал да отбележа, че за незадоволителната работа на отоплителната система може да се съди не само по отоплителни уреди... Причината е възможна и в понижените данни за топлотехника (в сравнение с проектните данни) на външните стени, прозорци, покрития и в подаването на вода към отоплителната система с намалена температура. Всичко това трябва да бъде отразено в материалите за цялостна оценка на техническото състояние на отоплителната система.
Действителният топлопренос на отоплителните устройства може да бъде по-малък от необходимия по различни причини. Първо, в действителност отоплителните устройства са отделени от различни видове помещения чрез декоративни огради, завеси и мебели. На второ място, неспазване на изискванията на Правилата за техническа експлоатация на отоплителни системи [1].
Разсейването на топлината на устройствата се влияе, например, от състава и цвета на боята. Намален топлообмен и радиатори, разположени в ниши.
Методът за термично изчисляване на отоплителните уреди, даден в наръчника на известния дизайнер [2], понастоящем е невалиден поради редица причини.
Понастоящем отоплителните устройства често се избират според стойността на номиналния топлинен поток, т.е. без да се отчита сложният коефициент за привеждане на номиналния топлинен поток в реални условия, в зависимост от отоплителната система (еднотръбна или двутръбна ), температурата на охлаждащата течност и въздуха в помещението, чиято стойност по правило е по-малка от 1. Работата представя препоръчителното топлинно изчисление на съвременните устройства [3].
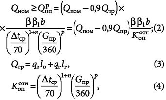
Изборът на устройства се състои в определяне на броя на секциите на сгъваем радиатор или вида на несгъваем радиатор или конвектор, чиято външна топлопреносна повърхност трябва да осигури пренасянето на поне необходимия топлинен поток в помещението ( Фиг. 1).
Изчисляването се извършва при температурата на охлаждащата течност преди и след нагревателя (в жилищни и обществени сгради обикновено се използва вода или незамръзваща течност), консумацията на топлина в помещението Qnom, съответстваща на изчислената топлина дефицит в него, отнасящ се до едно отоплително устройство, при очакваната температура на външния въздух [четири].
Очакваният брой секции на сгъваеми радиатори с достатъчна точност може да се определи по следната формула:
Видът и дължината на неразделимите радиатори и конвектори трябва да се определят от условието, че номиналният им топлинен поток Qpom трябва да бъде не по-малък от изчисления топлопреминаване Qopr:


където Qopr е изчислената топлинна мощност на нагревателя, W; qsecr е изчислената плътност на топлинния поток на една секция на устройството, W; Qtr е общият топлопреминаване на тръбите на тръбата, връзките, положени открито в помещенията, свързани с отоплителното устройство, W; β е коефициент, който отчита метода на монтаж, местоположението на нагревателя [2, 3] (при инсталиране на устройството, например, той е отворен близо до външната стена β = 1, ако има щит пред устройствата с прорези в горната част β = 1,4, а когато е разположен конвектор в подовата конструкция, стойността на коефициента достига 2); β1 - коефициент, отчитащ изменението на топлопреминаването от радиатора в зависимост от броя на секциите или дължината на устройството, β1 = 0,95-1,05; b - коефициент, отчитащ атмосферното налягане, b = 0,95-1,015; qв и qr - топлопреминаване на 1 m вертикални и хоризонтални открито положени тръби [W / m], взети за неизолирани и изолирани тръби съгласно таблица. 1 [2,3]; lw и lg - дължина на вертикални и хоризонтални тръби в помещенията, m; qnom и Qnom - номиналната плътност на топлинния поток на една секция на сгъваем или съответстващ тип несгъваемо отоплително устройство, дадена в [3], в Препоръките на лабораторията за нагревателни устройства "NIIsantekhniki" (LLC "Vitaterm") и в каталозите на производителите на устройства, с разлика в средната температура на охлаждащата течност и въздуха Δtav на въздуха в помещението, равна на 70 ° C, и с дебит на водата от 360 kg / h в устройството; Δtav и Gpr - действителна температурна разлика 0,5 (tg + до) - tv и поток на охлаждащата течност [kg / h] в устройството; n и p са експериментални цифрови показатели, които отчитат изменението на коефициента на топлопреминаване на устройството при действителните стойности на средната температурна разлика и дебита на охлаждащата течност, както и вида и схемата на свързване на устройство към тръбите на отоплителната система, прието съгласно [3] или съгласно Препоръките на лабораторията на отоплителните уреди "NIIsantekhniki"; tg, to и tв - изчислените стойности на температурите на охлаждащата течност преди и след устройството и въздуха в дадената стая, ° C; Kopotn е комплексен коефициент за привеждане на номиналния топлинен поток в реални условия.


При избора на типа отоплително устройство [4] трябва да се има предвид, че дължината му в сгради с високи санитарни изисквания трябва да бъде най-малко 75%, в жилищни и други обществени сгради - поне 50% от дължината на покривния прозорец
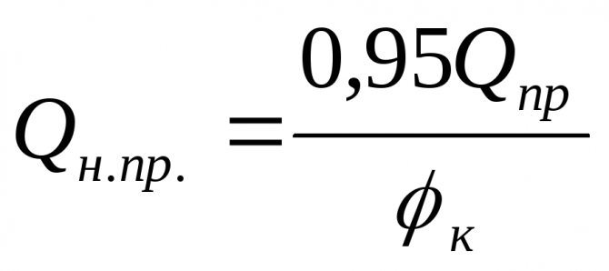
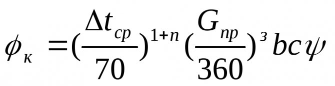
Очакваната скорост на потока на отоплителната среда, преминаваща през нагревателя [kg / h], може да бъде определена по формулата:
Стойността на Qpom тук съответства на топлинното натоварване, присвоено на едно отоплително устройство (когато в стаята има две или повече от тях).
При избора на типа отоплително устройство [4] трябва да се има предвид, че дължината му в сгради с повишени санитарно-хигиенни изисквания (болници, предучилищни институции, училища, домове за възрастни хора и инвалиди) трябва да бъде най-малко 75%, в жилищни и други обществени сгради - не по-малко от 50% от дължината на светлинния отвор.


Примери за избор на отоплителни устройства
Пример 1. Определете необходимия брой секции на радиатора MC-140-M2, монтирани без екран под перваза на прозореца 1,5 X 1,5 m, ако е известен: отоплителната система е двутръбна, вертикална, тръбното полагане е отворено, номинално диаметри на вертикални тръби (щрангове) в помещенията 20 mm, хоризонтални (връзки към радиатора) 15 mm, изчисленият разход на топлина Qpom на помещение № 1 е 1000 W, изчислената температура на подаващата вода tg и връщаната вода да са равни до 95 и 70 ° C, температурата на въздуха в помещението е tв = 20 ° C, устройството е свързано по схемата отгоре надолу, дължината на вертикалните lw и хоризонтални lg тръби е съответно 6 и 3 m. Номиналният топлинен поток на една секция qnom е 160 W.
Решение.
1. Намираме дебита на вода Gpr, преминаващ през радиатора:
Индикаторите n и p са съответно 0,3 и 0,02; β = 1,02, β1 = 1 и b = 1.
2. Намерете температурната разлика Δtav:
3. Намираме топлопредаването на тръби Qtr, като използваме таблиците на топлопреминаване на открито положени вертикални и хоризонтални тръби:
4. Определете броя на секциите Npr:
Четири раздела трябва да бъдат приети за монтаж. Дължината на радиатора от 0,38 м обаче е по-малка от половината от размера на прозореца. Ето защо е по-правилно да инсталирате конвектор, например "Santekhprom Auto". Индексите n и p за конвектора се приемат равни на 0,3 и 0,18, съответно.
Изчисленият топлообмен на конвектора Qopr се намира по формулата:
Приемаме конвектор "Santekhprom Auto" тип KSK20-0.918kA с номинален топлинен поток Qnom = 918 W. Дължината на корпуса на конвектора е 0,818 m.
Пример 2. Определете необходимия брой радиаторни секции MC-140-M2 при изчислената температура на подаващата вода tg и връщане tо, равна на 85 и 60 ° C. Останалите първоначални данни са същите.
Решение.
В този случай: Δtav = 52,5 ° C; топлообмен на тръби ще бъде
Шест секции се приемат за монтаж. Увеличението на необходимия брой радиаторни секции във втория пример е причинено от намаляване на изчислените температури на потока и връщането в отоплителната система.
Според изчисления (пример 5) за монтаж може да се приеме един монтиран на стената конвектор "Santekhprom Super Auto" с номинален топлинен поток 3070 W. Като пример - конвектор KSK 20-3070k със средна дълбочина с ъглово стоманено тяло на клапана KTK-U1 и със затваряща секция. Дължина на корпуса на конвектора 1273 мм, обща височина 419 мм
Дължината на радиатора от 0,57 м е по-малка от половината от размера на прозореца. Следователно трябва да инсталирате радиатор с по-ниска височина, например от типа MC-140-300, номиналният топлинен поток на една секция, от които qnom е 0,12 kW (120 W).
Намираме броя на секциите по следната формула:
Приемаме осем секции за монтаж. Радиаторът е дълъг 0,83 м, което е повече от половината от размера на прозореца.
Пример 3. Определете необходимия брой секции на радиатора MC-140-M2, монтирани под первази на прозорци без екран от два прозореца с размери 1,5 X 1,5 m със стена, ако е известна: отоплителната система е двутръбна, вертикална, отворена тръба , номинални диаметри на вертикалните тръби в помещението 20 mm, хоризонтални (връзки преди и след радиатора) 15 mm, изчисленият разход на топлина на помещението Qpom е 3000 W, изчислените температури на подаващата tg и връщащата вода са 95 и 70 ° C, температурата на въздуха в стаята е tв = 20 ° C, връзката на устройството
според схемата "отгоре надолу" дължината на вертикалните lw и хоризонтални lg тръби е съответно 6 и 4 m. Номинален топлинен поток на една секция qnom = 0,16 kW (160 W). Решение.
1. Определете дебита на водата Gpr, преминаващ през два радиатора:
Индикаторите n и p са съответно 0,3 и 0,02; β = 1,02, β1 = 1 и b = 1.
2. Намерете температурната разлика Δtav:
3. Намираме топлопредаването на тръби Qtr, като използваме таблиците на топлопреминаване на открито положени вертикални и хоризонтални тръби:
4. Определете общия брой секции Npr:
Ще приемем за монтаж два радиатора от 9 и 10 секции.
Пример 4. Определете необходимия брой радиаторни секции MC-140-M2 при изчислената температура на захранващата вода tg и обратно на, равно на 85 и 60 ° C. Останалите първоначални данни са същите.
Решение.
В този случай: Δtav = 52,5 ° C; топлопреминаването на тръбите ще бъде:
Ще приемем за монтаж два радиатора от 12 секции.
Пример 5. Определете вида на конвектора при проектните температури на подаваната вода tp и се върнете на равна на 85 и 60 ° C и изчислената консумация на топлина на помещението Qpom, равна на 2000 W. Останалите първоначални данни са показани в пример 3: n = 0,3, p = 0,18.
В този случай: Δtav = 52,5 ° C; топлопреминаването на тръбите ще бъде:
Тогава
Възможно е да се приеме за монтаж един стенен конвектор "Santekhprom Super Auto" с номинален топлинен поток 3070 W. Като пример конвектор KSK 20-3070k със средна дълбочина с ъглово стоманено тяло на клапана KTK-U1 и със затваряща секция. Дължината на корпуса на конвектора е 1273 мм, а общата височина е 419 мм.
Също така е възможно да се монтира конвектор KS20-3030, произведен от NBBK LLC с номинален топлинен поток 3030 W и дължина на корпуса 1327 mm.
Пример за термичен дизайн
Като пример за изчисляване на топлината има обикновена едноетажна къща с четири дневни, кухня, баня, „зимна градина“ и помощни помещения.


Фундаментът е направен от монолитна стоманобетонна плоча (20 см), външните стени са бетон (25 см) с мазилка, покривът е от дървени греди, покривът е от метал и минерална вата (10 см)
Нека определим началните параметри на къщата, необходими за изчисленията.
Размери на сградата:
- височина на пода - 3 м;
- малък прозорец на предната и задната част на сградата 1470 * 1420 мм;
- голям фасаден прозорец 2080 * 1420 мм;
- входни врати 2000 * 900 мм;
- задни врати (изход към терасата) 2000 * 1400 (700 + 700) мм.
Общата ширина на сградата е 9,5 м2, дължината е 16 м2. Отопляват се само дневни (4 бр.), Баня и кухня.


За да изчислите точно топлинните загуби по стените от площта на външните стени, трябва да извадите площта на всички прозорци и врати - това е съвсем различен вид материал със собствена термична устойчивост
Започваме с изчисляването на площите на еднородните материали:
- подова площ - 152 м2;
- площ на покрива - 180 м2, като се вземе предвид височината на тавана от 1,3 м и ширината на пробега - 4 м;
- площ на прозореца - 3 * 1,47 * 1,42 + 2,08 * 1,42 = 9,22 м2;
- площ на вратата - 2 * 0,9 + 2 * 2 * 1,4 = 7,4 м2.
Площта на външните стени ще бъде 51 * 3-9,22-7,4 = 136,38 м2.
Нека да преминем към изчисляване на топлинните загуби за всеки материал:
- Qpol = S * ∆T * k / d = 152 * 20 * 0,2 / 1,7 = 357,65 W;
- Qroof = 180 * 40 * 0,1 / 0,05 = 14400 W;
- Qwindow = 9,22 * 40 * 0,36 / 0,5 = 265,54 W;
- Qdoor = 7,4 * 40 * 0,15 / 0,75 = 59,2 W;
И също така Qwall е еквивалентно на 136,38 * 40 * 0,25 / 0,3 = 4546. Сумата от всички топлинни загуби ще бъде 19628,4 W.
В резултат на това изчисляваме мощността на котела: Рboiler = Qloss * Sheat_room * К / 100 = 19628.4 * (10.4 + 10.4 + 13.5 + 27.9 + 14.1 + 7.4) * 1.25 / 100 = 19628.4 * 83.7 * 1.25 / 100 = 20536.2 = 21 kW.
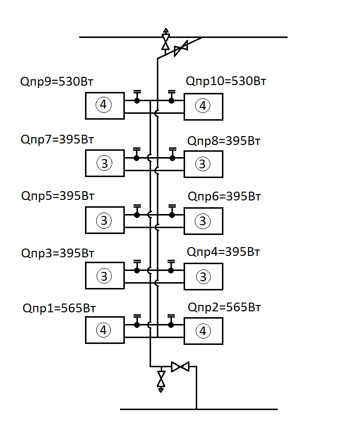
Ще изчислим броя на радиаторните секции за една от стаите. За всички останали изчисленията са едни и същи. Например ъгловата стая (вляво, долният ъгъл на диаграмата) е 10,4 м2.
Следователно, N = (100 * k1 * k2 * k3 * k4 * k5 * k6 * k7) / C = (100 * 10.4 * 1.0 * 1.0 * 0.9 * 1.3 * 1.2 * 1.0 * 1.05) /180=8.5176=9.
Тази стая изисква 9 секции на отоплителния радиатор с топлинна мощност 180 W.
Обръщаме се към изчисляване на количеството охлаждаща течност в системата - W = 13,5 * P = 13,5 * 21 = 283,5 литра. Това означава, че скоростта на охлаждащата течност ще бъде: V = (0.86 * P * μ) / ∆T = (0.86 * 21000 * 0.9) /20=812.7 литра.
В резултат на това пълният оборот на целия обем на охлаждащата течност в системата ще бъде равен на 2,87 пъти на час.
Избор на статии за топлинно изчисление ще помогне да се определят точните параметри на елементите на отоплителната система:
- Изчисляване на отоплителната система на частна къща: правила и примери за изчисление
- Термично изчисление на сграда: специфики и формули за извършване на изчисления + практически примери
Изчисляване на ребра с радиатор като елемент на топлообменник с принудителна конвекция.
Представена е техника, използваща примера на процесор Intel Pentium4 Willamette 1.9 GHz и охладител B66-1A, произведен от ADDA Corporation, който описва процедурата за изчисляване на ребра с радиатори, предназначени за охлаждане на генериращи топлина елементи на електронно оборудване с принудителна конвекция и плоска термични контактни повърхности с мощност до 100 W. Техниката дава възможност за практическо изчисление на съвременни високопроизводителни малки по размер устройства за отстраняване на топлина и да ги приложи към целия спектър от радиоелектронни устройства, нуждаещи се от охлаждане.
Параметри, посочени в първоначалните данни:
P
= 67 W, мощността, разсейвана от охладения елемент;
qот
= 296 ° K, температурата на средата (въздух) в градуси по Келвин;
qпреди
= 348 ° K, граничната температура на кристала;
qR
= nn ° K, средна температура на основата на радиатора (изчислена по време на изчислението);
З.
= 3 10-2 m, височина на перката на радиатора в метри;
д
= 0,8 10-3 m, дебелина на ребрата в метри;
б
= 1,5 10-3 m, разстоянието между ребрата;
лм
= 380 W / (m ° K), коефициент на топлопроводимост на материала на радиатора;
L
= 8,3 10-2 m, размерът на радиатора по ръба в метри;
Б.
= 6,9 10-2 m, размерът на радиатора през перките;
И
= 8 10-3 m, дебелината на основата на радиатора;
V
³ 2 m / s, скорост на въздуха в каналите на радиатора;
Z.
= 27, броят на перките на радиатора;
uR
= nn K, температурата на прегряване на основата на радиатора, се изчислява по време на изчислението;
дR
= 0,7, степента на затъмнение на радиатора.
Предполага се, че източникът на топлина се намира в центъра на радиатора.
Всички линейни размери се измерват в метри, температура в Келвин, мощност във ватове и време в секунди.
Дизайнът на радиатора и параметрите, необходими за изчисления, са показани на фиг. 1.
Снимка 1.
Процедура за изчисляване.
1. Определете общата площ на напречното сечение на каналите между ребрата по формулата:
Sк = (Z - 1) · b · H [1]
За приетите първоначални данни - Sk = (Z - 1) b H = (27-1) 1,5 10-3 3 10-2 = 1,1 10-3 m2
За централна инсталация на вентилатора въздушният поток излиза през двете крайни повърхности и площта на напречното сечение на каналите се удвоява до 2,2 10-3 m2.
2. Задаваме две стойности за температурата на основата на радиатора и извършваме изчислението за всяка стойност:
qр = {353 (+ 80 ° С) и 313 (+ 40 ° С)}
Оттук се определя температурата на прегряване на основата на радиатора. uR
по отношение на околната среда.
uр = qр - qс [2]
За първата точка uр = 57 ° K, за втората uр = 17 ° K.
3. Определете температурата q
необходими за изчисляване на критериите Nusselt (Nu) и Reynolds (Re):
q = qс + P / (2 · V · Sк · r · Cр) [3]
Където: qот
–
температура на околния въздух, околна среда,
V
- скорост на въздуха в каналите между ребрата, в m / s;
Сда се
- общата площ на напречното сечение на каналите между ребрата, в m2;
r
- плътност на въздуха при температура
q
Сряда, в kg / m3,
q
cf = 0,5 (
qp +qот)
;
° СR
- топлинен капацитет на въздуха при температура
q
Сряда, в J / (kg x ° K);
P
- мощността, разсейвана от радиатора.
За приетите първоначални данни - q = qс + P / (2 V Sк r Cр) = 296 K + 67 / (2 2 m / s 1,1 10-3m2 1,21 1005) = 302, 3 ° C (29,3 ° C)
* Стойността за даден ребрист радиатор с централен вентилаторен монтаж, V
от изчисления 1,5 - 2,5 m / s (виж Приложение 2), от публикации [L.3] около 2 m / s. За кратки, разширяващи се канали, като охладителя Golden Orb, скоростта на охлаждащия въздух може да достигне 5 m / s.
4. Определете стойностите на критериите на Рейнолдс и Нуселт, необходими за изчисляване на коефициента на топлопреминаване на ребрата на радиатора:
Re = V · L / n [4]
Където: н
- коефициент на кинематичен вискозитет на въздуха при
qот,м2/ от
от приложение 1, таблица 1.
За приетите първоначални данни - Re = VL / n = 2 8,3 10-2 / 15,8 10-6 = 1,05 104
Nu = 0,032 Re 0,8 [5]
За приетите първоначални данни - Nu = 0,032 Re 0,8 = 0,032 (2,62 104) 0,8 = 52,8
5. Определете коефициента на конвективен топлообмен на ребрата на радиатора:
ада се
=Nu·лв/
L W / (m
2
К) [6]
Където, л
- коефициент на топлопроводимост на въздуха (W / (m deg)), при
qот
от Приложение 1, таблица1.
За приетите изходни данни - ak = Nu · lv / L = 52,8 · 2,72 10-2 / 8,3 10-2 = 17,3
6. Определете помощните коефициенти:
m = (2 · ak / lm · d) 1/2 [7]
определяме стойността на mh и тангента на хиперболичния th (mh).
За приетите първоначални данни - m = (2 ak / lm d) 1/2 = (2 17.3 / (380 0.8 10-3)) 1/2 = 10.6
За приетите изходни данни - m · H = 10,6 · 3 10-2 = 0,32; th (m H) = 0,31
7. Определете количеството топлина, отделяно от конвекция от ребрата на радиатора:
Prc = Z · lm · m · Sр · uр · th (m · H) [8]
Където: Z.
- брой ребра;
лм
= коефициент на топлопроводимост на метала на радиатора, W / (m
·
° K);
м
- виж формула 7;
СR
- площ на напречното сечение на перката на радиатора, m2,
Sр = L · d [9]
uR
- температура на прегряване на основата на радиатора.
Sp = L d = 8,3 10-2 0,8 10-3 = 6,6 10-5 m2
Prk = Z · lm · m · Sр · uр · th (m · H) = 27 · 380 · 10,6 · 6,6 10-5 · 57 · 0,31 = 127 W.
8. Определете средната температура на перката на радиатора:
qср = (qр / 2) [1 + 1 / ch (m · H)] [10]
Където: гл
(mH)
- косинусът е хиперболичен.
За приетите изходни данни - qср = (qр / 2) [1 + 1 / ch (m · H)] = (353/2) [1 + 1 / 1.05] = 344 ° K (71 ° С)
* Величината на допирателната и косинуса на хиперболичния се изчислява на инженерен калкулатор чрез последователно извършване на операциите "hyp" и "tg" или "cos".
9. Определете коефициента на излъчване на топлопреминаване:
al = eр · f (qср, qс) · j [11]
f (qср, qс) = 0,23 [5 10-3 (qср + qс)] 3
За приетите първоначални данни - f (qcr, qc) = 0,23 [5 10-3 (qcr + qc)] 3 = 0,23 [5 10-3 (335 + 296)] 3 = 7,54
Коефициент на облъчване:
j = b / (b + 2h)
j = b / (b + 2H) = 1,5 10-3 / (1,5 10-3 + 3 10-2) = 0,048
al = eрf (qav, qs) j = 0,7 x 7,54 x 0,048 = 0,25 W / m2 K
10. Определете площта на излъчващия топлинен поток:
Sl = 2 L [(Z -1) · (b + d) + d] +2 H · L · Z (m2) [12]
За приетите първоначални данни - Sl = 2 L [(Z -1) · (b + d) + d] +2 H · L · Z = 0,1445 m2
11. Определете количеството топлина, отделено от радиацията:
Pl = al · Sl (qav - qc) [13]
За приетите първоначални данни - Pl = alSl (qav - qc) = 0,25 0,1445 (344 - 296) = 1,73 W
12. Общото количество топлина, отделяно от радиатора при дадена температура на радиатора qр = 353K:
P = Prk + Pl [14]
За приетите първоначални данни - P = Prk + Pl = 127 + 1,73 = 128,7 W.
13. Повтаряме изчисленията за температурата на радиатора q
p = 313K и нанасяме топлинната характеристика на изчисления радиатор в две точки. За тази точка P = 38W. Тук, по вертикалната ос, се отлага количеството топлина, отделяно от радиатора
PR
, а хоризонталната температура на радиатора е
qR
.
Фигура 2
От получената графика определяме за дадена мощност от 67W, qR
= 328 ° K или 55 ° C.
14. Според топлинната характеристика на радиатора определяме, че за дадена мощност PR
= 67W, температура на радиатора
qR
= 328,5 ° C. Температура на прегряване на радиатора
uR
може да се определи по формула 2.
Тя е равна на ур = qр - qс = 328 - 296 = 32 ° К.
15. Определете температурата на кристала и я сравнете с граничната стойност, определена от производителя
qда се
=q
p + P (
r
pc +
r
pr) ° K = 328 + 67 (0,003 + 0,1) = 335 (62 ° C), [15]
Където:
qR
–
температура на основата на радиатора за дадена проектна точка,
R
- резултатът от изчислението по формула 14,
r
бр - термично съпротивление на корпуса на процесора - кристал, за този източник на топлина е 0,003 K / W
r
pr - термично съпротивление на корпуса-радиатор, за даден източник на топлина е равно на 0,1K / W (с топлопроводима паста).
Полученият резултат е под максималната температура, определена от производителя, и е близо до данните [L.2] (около 57 ° C). В този случай температурата на прегряване на кристала спрямо околния въздух в горните изчисления е 32 ° C, а в [L.2] 34 ° C.
Най-общо термичното съпротивление между две плоски повърхности при използване на спойки, пасти и лепила:
r =
д
да се
lk-1
·
Сконт
-1
[16]
Където: д
k е дебелината на пролуката между радиатора и корпуса на охладения блок, напълнен с топлопроводим материал в m,
лда се
- коефициент на топлопроводимост на топлопроводим материал в междина W / (m K),
Спродължение
Е площта на контактната повърхност в m2.
Приблизителната стойност на rcr с достатъчно затягане и без уплътнения и смазки е
rcr = 2,2 / Scont
При използване на пасти термичното съпротивление спада с около 2 пъти.
16. Сравнете qда се
с
qпреди
, получихме осигуряване на радиатор
qда се
= 325 ° K, по-малко
qпреди=
348 ° K, - даденият радиатор осигурява топлинен режим на уреда с марж.
17. Определете термичното съпротивление на изчисления радиатор:
r =
u
R
/ P (° K / W) [17]
r = uр / P (° / W) = 32/67 = 0,47 ° / W
Констатации:
Изчисленият топлообменник осигурява отстраняване на топлинна мощност от 67W при температура на околната среда до 23 ° C, докато температурата на кристалите от 325 ° K (62 ° C) не надвишава 348 ° K (75 ° C), допустима за този процесор.
Използването на специална повърхностна обработка за увеличаване на изхода на топлинна мощност чрез радиация при температури до 50 ° C се оказа неефективно и не може да бъде препоръчано, тъй като не изплаща разноските.
Бих искал този материал да ви помогне не само да изчислите и произведете съвременен малък по размер високоефективен топлообменник, подобен на тези, които се използват широко в компютърните технологии, но и компетентно да вземете решения относно използването на такива устройства във връзка с вашите задачи .
Константи за изчисляване на топлообменника.
маса 1
| qs, K (° C) | l *10-2 W / (m K) | н * 10 6 м 2 / сек | Ср J / (kg * K) | r , kg / m 2 |
| 273 (0) td> | 2,44 | 13,3 | 1005 | 1,29 |
| 293 (20) | 2,59 | 15,1 | 1005 | 1,21 |
| 333 (60) | 2,9 | 19 | 1005 | 1,06 |
| 373 (100) | 3,21 | 23,1 | 1009 | 0,95 |
Стойностите на константите за междинните температури, в първо приближение, могат да бъдат получени чрез начертаване на графиките на функциите за температурите, посочени в първата колона.
Приложение 2.
Изчисляване на скоростта на движение на въздушното охлаждане на радиатора.
Скоростта на движение на охлаждащата течност по време на принудителна конвекция в газове:
V = Gv / Sк
Където: Gv е обемният дебит на охлаждащата течност, (за вентилатор 70x70, Sp = 30 cm2, 7 лопатки, Rem = 2,3 W, w = 3500 оборота в минута, Gv = 0,6-0,8 m3 / min. Или всъщност 0, 2 -0,3 или V = 2m / sec),
Sк - площ на напречното сечение на канала, свободна за преминаване.
Като се има предвид, че площта на потока на вентилатора е 30 cm2, а площта на каналите на радиатора е 22 cm2, скоростта на издухване на въздуха се определя като по-ниска и ще бъде равна на:
V = Gv / S = 0,3 m3
/ мин / 2,2 10
-3
м
2
= 136 m / min = 2,2 m / s.
За изчисления вземаме 2 m / s.
Литература:
- Наръчник на дизайнера REA, под редакцията на Р. Г. Варламов, М, съветско радио, 1972;
- Ръководство на REA Designer, изд. От Р. Г. Варламов, М, Съветско радио, 1980;
- https://www.ixbt.com/cpu/, Охладители за гнездо 478, пролет-лято 2002, Виталий Криницин
, Публикувано - 29 юли 2002 г .;
- https://www.ixbt.com/cpu/, Измерване на скоростите на въздуха зад охлаждащите вентилатори и охладители, Александър Цикулин, Алексей Рамейкин, Публикувано - 30 август 2002 г.
изготвен през 2003 г. въз основа на материали L.1 и 2
Сорокин А.Д.
Тази техника може да бъде изтеглена в PDF формат тук.
Прецизно изчисляване на топлинната мощност
За това се използват корекционни коефициенти:
- K1 зависи от вида на прозорците. Двукамерните прозорци с двоен стъклопакет съответстват на 1, обикновените стъкла - 1,27, трикамерните прозорци - 0,85;
- К2 показва степента на топлоизолация на стените. Той е в диапазона от 1 (пенобетон) до 1,5 за бетонни блокове и 1,5 тухли;
- K3 отразява съотношението между площта на прозорците и пода. Колкото повече дограма има, толкова по-големи са топлинните загуби. При остъкляване 20% коефициентът е 1, а при 50% се увеличава до 1,5;
- K4 зависи от минималната температура извън сградата през отоплителния сезон. Като единица се приема температура от -20 ° C и след това се добавя или изважда 0,1 на всеки 5 градуса;
- K5 взема предвид броя на външните стени. Коефициентът за една стена е 1, ако са две или три, тогава е 1,2, когато четири - 1,33;
- K6 отразява типа стая, която се намира над определена стая. Ако отгоре има жилищен етаж, стойността на корекцията е 0,82, топло таванско помещение - 0,91, студено таванско помещение - 1,0;
- K7 - зависи от височината на таваните. За височина от 2,5 метра това е 1,0, а за 3 метра - 1,05.
Когато всички корекционни коефициенти са известни, мощността на отоплителната система се изчислява за всяка стая, като се използва формулата:
Термично изчисление на стая и сграда като цяло, формула на топлинните загуби
Термично изчисление
Така че, преди да изчислите отоплителната система за собствения си дом, трябва да откриете някои данни, които се отнасят до самата сграда.
От проекта на къщата ще научите размерите на отопляваните помещения - височината на стените, площта, броят на отворите за прозорци и врати, както и техните размери. Как се намира къщата по отношение на основните точки. Имайте предвид средните зимни температури във вашия район. От какъв материал е изградена самата сграда?
Особено внимание към външните стени. Не забравяйте да определите компонентите от пода до земята, което включва основата на сградата. Същото се отнася и за горните елементи, т.е. таван, покрив и плочи.
Именно тези параметри на конструкцията ще ви позволят да преминете към хидравличното изчисление. Нека си признаем, цялата горепосочена информация е налична, така че не би трябвало да има проблеми с нейното събиране.
Изчерпателно изчисление на топлинното натоварване
В допълнение към теоретичното решение на въпроси, свързани с топлинните натоварвания, по време на проектирането се извършват редица практически мерки. Цялостните топлотехнически изследвания включват термография на всички строителни конструкции, включително тавани, стени, врати, прозорци. Благодарение на тази работа е възможно да се определят и регистрират различни фактори, които влияят върху топлинните загуби на къща или индустриална сграда.
Термичните изследвания предоставят най-надеждни данни за топлинните натоварвания и топлинните загуби за определена сграда за определен период от време. Практическите мерки позволяват ясно да се демонстрира това, което теоретичните изчисления не могат да покажат - проблемни области на бъдещата структура.
От всичко казано по-горе може да се заключи, че изчисленията на топлинните натоварвания за подаване на топла вода, отопление и вентилация, подобно на хидравличното изчисление на отоплителната система, са много важни и те със сигурност трябва да се извършат преди началото на подреждането на топлоснабдителната система във вашата собствена къща или в съоръжение за друга цел. Когато подходът към работата е направен правилно, ще бъде осигурено безпроблемно функциониране на отоплителната конструкция и без допълнителни разходи.
Видео пример за изчисляване на топлинното натоварване на отоплителната система на сграда:



