Всеки от нас неведнъж е бил свидетел на образуването на водни капчици върху околните предмети и структури. Това се обяснява с факта, че околният въздух се охлажда над обект, донесен от замръзване. Настъпва насищане с водни пари и върху обекта се кондензира роса.
Замъгляването на прозорците в апартамента има същото естество. Причината прозорците да плачат се дължи на кондензационни процеси, които се влияят от влажността и температурата на околната среда.

Кондензът е тясно свързан с понятието точка на оросяване. За по-добро разбиране на описаните явления е просто необходимо да се разгледа по-подробно този фактор.
Точка на оросяване. Какво е?
Точката на оросяване е температурата, при която околният въздух се охлажда, при която водната пара, която се съдържа, започва да се кондензира, образувайки роса, т.е. това е температурата на кондензация.
Този показател зависи от два фактора: температурата на въздуха и относителната му влажност. Точката на оросяване на даден газ е толкова по-висока, колкото по-висока е относителната му влажност, тоест той се приближава до действителната околна температура. И обратно, колкото по-ниска е влажността, толкова по-ниска е точката на оросяване.
Точка на оросяване - формула, изчисление и визуализация
Какво е точка на оросяване
Точката на оросяване е температурата, до която въздухът трябва да се охлади, за да може съдържащите се в нея водни пари да достигнат насищане и да започнат да се кондензират в роса. Най-просто казано, това е температурата, при която се получава кондензация.
Температурата на точката на оросяване се определя само от два параметъра: температура и относителна влажност. Колкото по-висока е относителната влажност, толкова по-висока е точката на оросяване и по-близо до действителната температура на въздуха. Колкото по-ниска е относителната влажност, толкова по-ниска е точката на оросяване на действителната температура.
Таблица с точка на оросяване
Таблица с температурата на точката на оросяване за различни температури (от -5 ° C до 35 ° C) и относителна влажност (от 40% до 95%) на въздуха в помещенията може да се намери в справочно допълнение R към SP 23-101-2004 " Проектиране на термична защита на сгради ". За съжаление, няколко печатащи грешки са се прокраднали в тази таблица. Подготвил съм файл с таблица за вас, там грешките в текста са коригирани.
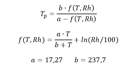
Формула за точка на оросяване
Можете да използвате формулата за грубо изчисляване на точката на оросяване Tr (° C) в зависимост от температурата на въздуха T (° C) и относителната му влажност Rh (%):


Формулата има грешка от ± 0,4 ° C в диапазона на температурата на въздуха T от 0 ° C до 60 ° C, температурата на точката на оросяване Tr от 0 ° C до 50 ° C, относителната влажност Rh от 1% до 100%.
Устройства с точка на оросяване
Психрометър (хигрометър психрометричен) - устройство за измерване на влажността и температурата на въздуха. Психрометърът се състои от два термометра с алкохол, единият от тях е обикновен сух термометър, а другият има устройство за овлажняване. Поради изпаряването на влагата овлажненият термометър се охлажда. Колкото по-ниска е влажността, толкова по-ниска е нейната температура. При 100% влажност показанията на термометъра са еднакви. За определяне на относителната влажност се използва психрометрична таблица. Понастоящем такива устройства се използват само в лабораторни условия.
Най-удобни в практиката на строителната инспекция са преносимите електронни термохигрометри с индикация на температура и относителна влажност на цифров дисплей. Някои модели термохигрометри също имат индикация за точката на оросяване.


Изчисляване на точката на оросяване в тепловизор
Някои модели термоизображения имат вградена функция за изчисляване на точката на оросяване в реално време и показване на изотерма на термограмата, ясно показваща повърхностите, където температурата е под точката на оросяване по време на термоизображението. Такава функция е налична, например, в линията термоизолатори FLIR Systems за строителни цели (серия "B" от "Building").


Изотермата на точката на оросяване може да бъде добавена към термограмата по-късно в програмата за обработка на компютъра. За изчислението ще трябва да зададете температурата и влажността.Изотермата ще нарисува всички повърхности на термограмата, чиято температура е под точката на оросяване. Моля, имайте предвид, че тази функция показва само зони на опасност от кондензация при условията на изследване с термично изображение. Ако външната температура се повиши и влажността вътре падне, опасните зони ще изчезнат от термограмата (конструкциите ще бъдат по-топли и точката на оросяване е по-ниска). По-долу са скрийншотове на програми FLIR и TESTO.


Точка на оросяване в строителството
Ще напиша в една от следващите публикации за стойността на конденза и точката на оросяване по време на експлоатацията на строителните конструкции, положението на точката на оросяване или равнината на възможна кондензация в стените, оценката на дефектните конструкции по критерия точка на оросяване с помощта на термовизионни изображения.
Как да изчислим точката на оросяване?
Изчисляването на точката на оросяване е важно в много аспекти на живота, включително строителството. Качеството на живот в новите сгради и помещения, отдадени под наем за дълго време, зависи от правилността на дефиницията на този показател. И така, как да определите точката на оросяване?
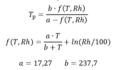
За да определите този показател, използвайте формулата за приблизително изчисляване на температурата на точка на оросяване Tr (° C), която се определя от зависимостта на относителната влажност Rh (%) и температурата на въздуха T (° C):


С какви устройства се изчислява?
И така, как се изчислява точката на оросяване на практика? Определянето на този показател се извършва с помощта на психрометър - устройство, състоящо се от два алкохолни термометра, което измерва влажността и температурата на въздуха. В наши дни се използва главно в лаборатории.


За инспекция на сгради се използват преносими термохигрометри - електронни устройства, на цифров дисплей на които се показват данни за относителната влажност и температурата на въздуха. При някои модели се показва дори точката на оросяване.
Също така някои термични изображения имат функцията да изчисляват точката на оросяване. В същото време на екрана се показва термограма, на която в реално време се виждат повърхности с температури под точката на оросяване.


Изолационни материали и тяхната роля в кондензацията на влага
Някои нагреватели отделят влага, когато влажността падне. Целулоза: Ecowool и нейните естествени аналози, които се предлагат на пазара с друга марка, имат влакнеста структура, способна да абсорбира влагата без кондензация и след това лесно да я отделя. А някои го натрупват, като същевременно губят изолационните си свойства. Много е трудно да се изсушат минерална вата, плочи от полиуретанова пяна, плочи от РРР. Чрез регулиране на влажността на въздуха в помещението, без да се нарушават топлоизолационните му свойства, ecowool намалява риска от точка на оросяване на повърхностите и вътре в стената. Като няма шевове, той не позволява на топъл въздух да преминава към студени повърхности, студени потоци към вътрешни прегради.
Как се определя точката на оросяване в строителството?
Измерването на точката на оросяване е много важен етап в строителството на сгради, който трябва да се извърши дори на етапа на разработване на проекта. Възможността за кондензация на въздух в помещението зависи от неговата коректност, а оттам и от комфорта на по-нататъшния живот в нея, както и от нейната трайност.
Всяка стена има определено съдържание на влага. Ето защо, в зависимост от материала на стената и качеството на изолацията, върху нея може да се образува конденз. Температурата на точката на оросяване зависи от:
- влажност на въздуха в помещенията;
- неговата температура.
Така че, използвайки таблицата, дадена по-рано, можете да определите, че в помещение с температура +25 градуса и относителна влажност 65%, конденз ще се образува на повърхности с температура 17,5 градуса и по-ниска. Трябва да се помни правило: колкото по-ниска е влажността в помещението, толкова по-голяма е разликата между точката на оросяване и температурата в стаята.


Основните фактори, които влияят върху местоположението на точката на оросяване, са:
- климат;
- вътрешна и външна температура;
- влажност отвътре и отвън;
- режим на живот в стаята;
- качеството на функционирането на отоплителните и вентилационни системи в помещението;
- дебелина на стената и материал;
- изолация на подове, тавани, стени и др.
Точка на оросяване
Точката на оросяване при дадено налягане е температурата, до която въздухът трябва да се охлади, за да може водната пара, съдържаща се в нея, да достигне насищане и да започне да се кондензира в роса.
Точката на оросяване се определя от относителната влажност и температура на въздуха. Колкото по-висока е относителната влажност, толкова по-висока е точката на оросяване и по-близо до действителната температура на въздуха. Колкото по-ниска е относителната влажност, толкова по-ниска е точката на оросяване на действителната температура. Ако относителната влажност е 100%, тогава точката на оросяване е същата като действителната температура.
Пример от реалния живот
- всеки предмет се внася в топла стая от замръзване. Въздухът над повърхността на такова нещо се охлажда под точката на оросяване (за текущата влажност и температура) и на повърхността се образува „роса“. Колкото по-високо е съдържанието на влага във въздуха, толкова по-малка е температурната разлика между температурата на въздуха и температурата на един и същ обект, за да започне процесът на кондензация. Впоследствие обектът се загрява до стайна температура и кондензатът се изпарява. Всъщност това е причината за препоръката да не се включва веднага домакинските уреди, донесени от студа.
Точката на оросяване на въздуха е най-важният параметър, който показва влажността и възможността за конденз в помещението, но не може да се контролира. Това е физически термин. Точката на оросяване може да бъде намерена на графиките, показващи връзката между влажността и стайната температура.
Ако температурата на вътрешното стъкло в стъклото е равна или по-ниска от температурата на точката на оросяване при текущата относителна влажност на вътрешния въздух, тогава върху стъклото може да се появи конденз.
Има няколко начина за намаляване на влажността в помещението:
1. Препоръчва се температурата на въздуха в помещението да се поддържа не по-ниска от 20 ° С, а относителната влажност не по-висока от 30-40%. 2. Препоръчва се стаята да се проветрява поне 3 пъти на ден в продължение на 10-15 минути. Когато купувате пластмасови прозорци, попитайте мениджърите за допълнителните възможности на регулаторите на микроклимата: гребени, микровентилация, зимна вентилация, вентилационни клапани ви позволяват да изберете най-удобния и ефективен начин за проветряване на помещението. 3. Вентилационният аспиратор трябва да има течение. Препоръчва се интериорните врати да се държат отворени. (осигурете празнина от 15-20 мм между вратата и пода) 4. Нагревателните устройства (радиатори) трябва да бъдат освободени от препятстващи предмети (дивани, мебели, затъмнени завеси и др.)
Таблица с точка на оросяване. Пример: ако стайната температура е + 20 ° С, а относителната влажност е 40%; точката на оросяване, при която може да се получи конденз върху стъклото, е + 6 ° С
| Оу. / Т. | 0 | 2,5 | 5 | 7,5 | 10 | 12,5 | 15 | 17,5 | 20 | 22,5 | 25 |
| 20 | -20 | -18 | -16 | -14 | 12 | -9,8 | -7,7 | -5,6 | -3,6 | -1,5 | -0,5 |
| 30 | -15 | -13 | -11 | -8,9 | -6,7 | -4,5 | -2,4 | -0,2 | 1,9 | 4,1 | 6,2 |
| 40 | -12 | -9,7 | -7,4 | -5,2 | -2,9 | -0,7 | 1,5 | 3,8 | 6,0 | 8,2 | 10,5 |
| 50 | -9,1 | -6,8 | -4,5 | -2,2 | 0,1 | 2,4 | 4,7 | 7,0 | 9,3 | 11,6 | 13,9 |
| 60 | -6,8 | -4,4 | -2,1 | 0,3 | 2,6 | 5,0 | 7,3 | 9,7 | 12,0 | 14,4 | 16,7 |
| 70 | -4,8 | -2,4 | 0,0 | 2,4 | 4,8 | 7,2 | 9,6 | 12,0 | 14,4 | 16,8 | 19,1 |
| 80 | -3,0 | -0,6 | 1,9 | 4,3 | 6,7 | 9,2 | 11,6 | 14,0 | 16,4 | 18,9 | 21,3 |
| 90 | -1,4 | 1,0 | 3,5 | 6,0 | 8,4 | 10,9 | 13,4 | 15,8 | 18,3 | 20,8 | 23,2 |
| 100 | 0,0 | 2,5 | 5,0 | 7,5 | 10,0 | 12,5 | 15,0 | 17,5 | 20,0 | 22,5 | 25,0 |
Парциалното налягане на водната пара, съдържаща се във въздуха на помещението (абсолютна влажност на въздуха в помещенията eв), зависи от температурата на въздуха в помещенията tв и относителната му влажност \ varphiв като
ev = E (t) \ varphi
Зависимостта е представена графично на Фигура 1:
При ниска външна температура температурата на вътрешната повърхност на стъклопакета (τv.p.) ще бъде значително по-ниска от температурата на въздуха в помещението (в средата на помещението на височина 1,5 м от пода). В този случай пределната стойност на парциалното налягане на водната пара E, съответстваща на температурата τw.p., може да бъде по-ниска от изчислената стойност ev = f (tw, \ varphiw), което ще доведе до загуба на " излишък от "водна пара върху студената вътрешна повърхност на стъклопакета под формата на конденз или замръзване. Стойността на температурата, при която E = f (τv.p.) и ev = f (tv, \ varphiв) ще бъде равна, съответства температура на оросяване.Нека определим вероятността от конденз на вътрешната повърхност на 4-12-4 еднокамерен прозорец с двоен стъклопакет, инсталиран с вътрешна температура на въздуха tв = 20 ° C и вътрешна влажност на въздуха \ varphiв = 60%, при условие че външната температура спада до tn = -30 ° C.
- Съгласно GOST 24866-99 "Залепени прозорци с двоен стъклопакет", намаленото съпротивление на топлопреминаване на прозорец с двоен стъклопакет 4-12-4 е Ro = 0,30 m 2 ° C / W
- Определете точката на оросяване при температура на въздуха в помещенията tв = 20 ° С и относителна влажност \ varphiв = 60%. В съответствие с фигура 1, граничната стойност на парциалното налягане на водната пара E при температура tв = 20 ° C е 17,53 mm Hg. Според уравнението ev = E (t) \ varphi абсолютна влажност на въздуха e = 17,53 * 0,6 = 10,52 mm Hg, което съответства на точката на оросяване t = 12,0 ° C
- Определете температурата на вътрешната повърхност на стъклото.
τv.p. когато външната температура падне до -30 ° С. Общата температурна разлика в този случай е δT = Tv-Tn = 20 + 30 = 50 ° C.
Въз основа на факта, че температурният спад в дебелината на заграждащата конструкция отвътре навън е пропорционален на промяната в термичното съпротивление, а именно
δtw = (δ.Т / Ro) xRw където
Rw = 0,12 - устойчивост на топлообмен на вътрешната повърхност на стъклопакета.
Съответно получаваме \ varphitв = (50 / 0.30) x0.12 = 19.99 ° C
Температурата на вътрешната повърхност на стъклената единица ще бъде равна на τv.p. = 20-19,99 = 0,01 ° C, което е значително по-ниско от температурата на точката на оросяване за дадено помещение (t = 12 ° C)
По този начин температурата на вътрешната повърхност на еднокамерен прозорец с двоен стъклопакет, инсталиран в помещение с вътрешна температура на въздуха tв = 20 ° С и вътрешна влажност на въздуха \ varphiв = 60%, при условие че външната температура спадне до tн = -30 ° С, ще бъде значително по-ниска от температурата на точка на оросяване, което ще доведе до обилна кондензация и образуване на лед върху стъклото от вътрешната страна на помещението.
Така че, за да обобщим, можем да кажем, че такива условия от примера са приемливи за някои индустриални предприятия, паркинги, търговски центрове и т.н. т.е. за помещения, които не са предназначени за постоянно пребиваване на хора [1]
Фирми за прозорци през цялото време
изправен пред точка на оросяване - вечният проблем с кондензацията, особено през зимата (прозорците „текат“, „плачат“ при измръзване, кондензът пада обилно върху стъкло и рамки) не дава почивка на никого. Този проблем особено притеснява тези, които все още не са инсталирали прозорци за себе си и много се страхуват да се сблъскат с този проблем в бъдеще.
- Борискина, А. А. Плотников, А. В. Захаров "Проектиране на съвременни прозоречни системи за граждански сгради"
Смирнова Дана
Характеристики на неизолирани стени
В много стаи изолацията на стените напълно липсва. При такива условия са възможни следните опции за поведението на точката на оросяване, в зависимост от местоположението й:
- Между външната повърхност и центъра на стената (вътрешността на стената винаги остава суха).
- Между вътрешната повърхност и центъра на стената (конденз може да се появи на вътрешната повърхност, ако въздухът в региона внезапно се охлади).
- На вътрешната повърхност на стената (стената ще остане мокра през цялата зима).
Локализация на точката на оросяване
Местоположението на точката на оросяване зависи от коя страна е разположена изолацията. Така че, в стена без изолация, тя ще се измести по дебелината на стената в зависимост от промените в температурата на въздуха и влажността. С минимална температурна разлика той ще бъде разположен в дебелината на стената между центъра и външната повърхност.
Впоследствие вътрешността на стената ще остане суха. Когато позицията му е между вътрешната повърхност и центъра на стената, последната ще се намокри вътре по време на рязко застудяване или по време на период на замръзване.


Стената може да бъде изолирана отвън или отвън, или изобщо не може да бъде изолирана.Местоположението на точката на оросяване ще зависи от това.
В стена с изолация отвън местоположението на точката на оросяване ще бъде оптимално. Всъщност в този случай тя ще бъде разположена вътре в изолацията и по този начин вътрешната повърхност на стената ще бъде суха. Това е най-добрият вариант.
Но ако дебелината на изолацията е избрана неправилно, точката на оросяване може да се измести, което е изпълнено с появата на гъбички, плесени и бързо разрушаване на стените.
В стена с нагревател, монтиран отвътре, в стената по-близо до жилищните помещения се образува конденз, температурата на стената под топлоизолационния слой намалява, създавайки оптимални условия за растежа на мухъл.
Локализацията може да бъде следната:
- между центъра на стената и изолацията и по време на студове или рязък спад на температурата на границата им;
- на вътрешната повърхност на стената, която ще бъде мокра през зимния период под изолацията;
- вътре в изолацията, която, подобно на стената под нея, ще бъде мокра през целия студен период.
Както можете да видите, местоположението на точката на оросяване оказва значително влияние върху комфорта и здравето на хората.
Как правилно да изолирате стената?
В изолирана стена точката на оросяване може да бъде разположена на различни места на изолацията, което зависи от редица фактори:
- Топлоизолационните свойства на изолацията намаляват, тъй като нивото на нейната влага се увеличава, тъй като водата е отличен проводник на топлина.
- Наличието на изолационни дефекти и пролуки между изолацията и повърхността на стената създава добри условия за образуване на конденз.
- Капките от роса значително намаляват топлоизолационните свойства на изолацията, а също така са помощник за развитието на гъбични колонии.
По този начин трябва да се разбере рискът от използване на материали, които позволяват на влагата да преминава през стените за изолация на стени, тъй като те са податливи на загуба на топлозащитни качества и постепенно разрушаване.
Освен това, не забравяйте да обърнете внимание на способността на материалите, избрани за изолация на стени, да устоят на запалване. По-добре е да се изберат материали със съдържание на органични вещества по-малко от 5%. Те се считат за негорими и са най-подходящи за изолиране на жилищни помещения.
Изолация на външна стена
Идеалният вариант за защита на помещение от влага и студ е външната изолация на стените (при условие, че е направена в съответствие с технологията).


В случай, че дебелината на изолацията е избрана оптимално, точката на оросяване ще бъде в самата изолация. Стената ще остане абсолютно суха през целия студен период, дори при рязко застудяване, точката на оросяване няма да достигне до вътрешната повърхност на стената.
Ако дебелината на изолацията не е изчислена правилно, могат да възникнат някои проблеми. Точката на оросяване ще се премести до границата между изолационния материал и външната страна на стената. В кухините между двата материала може да се образува конденз и да се натрупва влага. През зимата, когато температурата падне под нулата, влагата ще се разшири и ще се превърне в лед, допринасяйки за разрушаването на топлоизолацията и част от стената. Освен това постоянната влажност на повърхностите ще доведе до образуване на мухъл.
При пълно неспазване на технологията и груби грешки в изчисленията е възможно точката на оросяване да се измести към вътрешната повърхност на стената, което да доведе до образуване на конденз върху нея.
Вътрешна изолация на стените
Изолирането на стената отвътре първоначално не е най-добрият вариант. Ако изолационният слой е тънък, точката на оросяване ще бъде на границата на изолационния материал и вътрешната повърхност на стената. Топлият въздух в стая с тънък слой топлоизолация практически няма да достигне до вътрешната страна на стената, което води до следните последствия:
- голяма вероятност от намокряне и замръзване на стената;
- овлажняване и в резултат на това разрушаването на самата изолация;
- отлични условия за развитие на плесени от плесени.


Този метод за затопляне на стая обаче може да бъде и ефективен.За да направите това, трябва да се съобразите с някои предпоставки:
- вентилационната система трябва да отговаря на разпоредбите и да предотвратява прекомерното овлажняване на околния въздух.
- термичното съпротивление на оградната конструкция, съгласно нормативните изисквания, не трябва да надвишава 30%.
Какъв е рискът от игнориране на конденза в строителството?
През зимата, когато температурата е почти постоянно под нулата градуса, топлият въздух вътре в помещението, в контакт с която и да е студена повърхност, се преохлажда и пада на повърхността му под формата на конденз. Това се случва при условие, че температурата на съответната повърхност е под точката на оросяване, изчислена за дадената температура и влажност.
Ако се получи конденз, стената е почти влажна почти винаги при по-ниска температура. Резултатът е образуването на мухъл и развитието на голямо разнообразие от вредни микроорганизми в него. Впоследствие те се преместват в околния въздух, което води до различни заболявания на обитателите, които често са в стаята, включително астматични разстройства.


Освен това къщите, засегнати от плесени и гъбични колонии, са изключително краткотрайни. Разрушаването на сградата е неизбежно и този процес ще започне точно от влажните стени. Ето защо е изключително важно да се направят всички правилни изчисления на точката на оросяване дори на етапа на проектиране и изграждане на сградата. Това ще ви позволи да направите правилния избор по отношение на:
- дебелина на стената и материал;
- дебелината и материала на изолацията;
- метод на изолация на стени (вътрешна или външна изолация);
- избор на системи за вентилация и отопление, които могат да осигурят оптимален микроклимат в помещението (най-доброто съотношение на относителна влажност и температура).
Можете сами да изчислите точката на оросяване в стената. В този случай трябва да се вземат предвид особеностите на климатичния регион на пребиваване, както и други нюанси, дадени по-рано. Но все пак е по-добре да се свържете със специализирани строителни организации, които се занимават с такива изчисления на практика. И отговорността за коректността на изчисленията ще бъде не на клиента, а на представителите на организацията.
Концепция за точка на оросяване
Точката на оросяване е температурата, при която влагата пада или кондензира от въздуха, който преди това е бил в него в състояние на пара. С други думи, точката на оросяване в строителството е границата на прехода от ниска температура на въздуха извън ограждащите конструкции към топла температура на закрити отопляеми помещения, където може да се появи влага, местоположението му зависи от използваните материали, тяхната дебелина и характеристики , местоположението на изолационния слой и неговите свойства.


Точка на оросяване в стената без изолация
Нормативният документ SP 23-101-2004 "Проектиране на термична защита на сградите" и SNiP 23-02 "Термична защита на сградите" регулират условията за измерване и стойността на точката на оросяване:
„6.2 SNiP 23-02 установява три задължителни взаимно свързани стандартизирани показателя за термична защита на сграда, въз основа на:
"А" - нормализирани стойности на устойчивост на топлопреминаване за отделни заграждащи конструкции на термична защита на сградата;
"B" - нормализирани стойности на температурната разлика между температурите на вътрешния въздух и на повърхността на ограждащата конструкция и температурата на вътрешната повърхност на ограждащата конструкция над температурата на оросяване;
"В" - стандартизиран специфичен показател за консумация на топлинна енергия за отопление, който позволява да се променят стойностите на топлозащитните свойства на ограждащите конструкции, като се вземе предвид изборът на системи за поддържане на стандартизираните параметри на микроклимата.
Изискванията на SNiP 23-02 ще бъдат изпълнени, ако изискванията на показателите от групи "а" и "b" или "b" и "c" са изпълнени при проектирането на жилищни и обществени сгради.
Кондензацията на водни пари се получава най-лесно на някои повърхности, но влагата може да се появи и вътре в конструкцията. Прилага се при изграждането на стени: в случай, когато точката на оросяване е разположена близо до или директно върху вътрешната повърхност, при определени температурни условия през студения сезон неизбежно ще се образува конденз върху повърхностите. Ако ограждащите конструкции не са достатъчно изолирани или са изградени изобщо без допълнителен изолационен слой, тогава точката на оросяване винаги ще бъде разположена по-близо до вътрешните повърхности на помещенията.
Появата на влага на повърхностите на конструкциите е изпълнена с неприятни последици - това създава благоприятна среда за размножаване на микроорганизми, като гъбички и плесени, спорите на които винаги присъстват във въздуха. За да се избегнат тези негативни явления, е необходимо правилно да се изчисли дебелината на всички елементи, изграждащи ограждащите конструкции, включително изчисляване на точката на оросяване.
Съгласно инструкциите на нормативния документ SP 23-101-2004 "Проектиране на термична защита на сгради":
"5.2.3 Температурата на вътрешните повърхности на външната ограда на сградата, където има топлопроводими включвания (диафрагми, чрез включвания от циментово-пясъчен хоросан или бетон, междупанелни фуги, твърди фуги и гъвкави връзки в многослойни панели, дограми и др.), в ъглите и по склоновете на прозорците не трябва да бъде по-ниска от температурата на оросяване на въздуха вътре в сградата ... ".
Ако температурата на повърхността на стената вътре в помещенията или блоковете на прозорците е по-ниска от изчислената стойност на точката на оросяване, тогава е вероятно конденз да се появи през студения сезон, когато външната температура падне до отрицателни стойности.
Решението на проблема - как да се намери точката на оросяване, нейната физическа стойност, е един от критериите за осигуряване на необходимата защита на сградите от топлинни загуби и поддържане на нормални параметри на микроклимата в помещенията, в съответствие с условията на SNiP и санитарните и хигиенни стандарти.